-
的定义域是____。
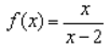
- f(x)=ln(x-2)的定义域是____。
-
的定义域是____。
- f(x)=arcsin(x-2) 的定义域是____。
- f(x)的定义域为[0,5],则f(x-2) 的定义域是____,f(x+2)的定义域是______。
- f(x-2)=x2,则f(x)=_______ 。
- f(lnx)=x, 则f(x)=_______ 。
-
,则f(x)=_______ 。
- f(x)=x+1,则f{f(x)} =_______。
- y=2x-1的反函数y=_______。
- y=arcsin(x-2)的反函数y=_______。
- y=ex+1的反函数y=_______。
- f(x)=sin(2x+1)的周期T=_____。
- f(x)=ax+a-x的奇偶性是____。
- f(x)=ax-a-x的奇偶性是____。
-
求
的定义域。
-
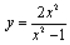
求
的定义域
- f(x)的定义域为[0,5],求g(x)=f(x-2)+f(x-2) 的定义域
- 求y=ln(x+2)-1的反函数
-
f(x)=
,求f{f(x)}
-
=_______。
-
=_______。
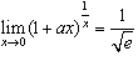
-
,则a=_______。
-
,则a=_______。
-
,则a=_______。
-
x→0时,sin3x~_______,ln(1+x2) ~_______,e2x-1~_______,
~_______。
arcsin2x~_______, arctanx2~_______。 -
=_______。
-
-
-
-
-
-
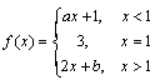
,求a,b
-
-
求f(x)=
的间断点,说明它的类型。
-
若
在x=1连续,求a,b
- 证明方程x2x-1=0在(0,1)内至少有一根
-
f(x)=x2,则
=________。
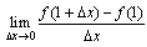
-
f′(x0)=2,则
=________。
- y=f(x)=x2在点x=1处的切线的斜率k=_______。
- y=x(x+1)(x+2)(x+3)(x+4),则y′(0)_______。
- y=xlnx,则dy=_______。
- y=f(lnx),则y′=_______。
- x=sint,y=1+cost,则dy/dx =_______。
- y=x7+ x6+ x5+ x4+ x3+ x2+ x+1,则y(8) =_______。
-
,求y′,y′′,dy。
- y=xsinx,求y′,y′′ 。
- x2+xey-1=0,求y′,y′′.
- 求曲线xey+y=1在点(1,0)处的切线
- x=ln( 1+t2) ,y=t-arctant.求dy/dx,d2y/dx2
- f(x)=x2-2x+3在区间[0,2]上使罗尔定理成立有中值为ξ=__________。
- f(x)=xlnx在区间[1,e]上使拉格朗日定理成立的中值为ξ= _______。
- f(x)=x2-2x+3的单调增加区间是_______。
- f(x)=x3+3x2+1的凹向区间是_________。
-
的水平渐近线是 垂直渐近线是________。
-
求
-
求
-
求
-
求
- 求y=x3-3x2-9x+1的单调区间,极值,凹向区间,拐点。
- y=x3+ax2+bx+c的拐点为(1,-10)驻点x=-1,求a,b,c。
- 证明不等式ex-1≥x.
-
f(x)在[0,+∞)上满足f(0)=0,f〞(x) ≥0
证明 g(x)=f(x)/x在(0,+∞)上单调增加 -
在抛物线y=1-x2(0< x< 1)上求一点使过该点的切线与两坐标轴围成的三角形面积最小(参见下图)
-
xsinx是f(x)的原函数,则
f′(x)dx= _________。
-
若
f(x)dx=x2ex+c,则f(x)=_________。
-
若xsinx是f(x)的原函数,则
xf(x2)dx=__________。
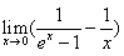
-
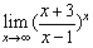
=_________.
-
=_________.
-
=_________.
-
=_______.
-
=___________.
-
=_______.
-
比较大小:
-
求
。
-
求
。
-
求
。
-
求
。
-
求
。
-
求
。
-
求
。
-
若
。
- 解微分方程y(1+x2)dy=x(1+y2)dx
- 解微分方程,xy′-y=x2ex,y|x=0=2
- 求y2=2x在点(1/2,1)处的法线与y2=2x所围图形面积。
- 求y=x2与y=1,y=0所围图形绕x轴旋转的旋转体体积。
-
=________.
-
若
,则A23=________.
- 若|A|=3且A是三阶方阵,则|2A|=________.
- 若A= ,则A-1=________.
-
A=
,则2A-3B=________.
-
(1,2,3)
=________.
-
(1,2,3)=________.
-
若
=0则a=________.
-
若A=
,则A*= ________.
- AX=0有非0解的充分必要的条件是________.
-
.
=0,求x。
-
计算
。
-
A=
,求A-1
-
A=
,解方程AX=B
-
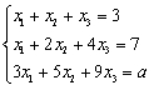
a为何值时,方程组

有解,并求出所有的解 -
a为何值时,方程组

有非0解,并且求出所有的解 - 设A是三阶方阵且|A|=2,计算|4A-1+A*|。
Copyright 2023 上海欣师教育科技有限公司