-
请根据以下各小题的要求设计C应用程序(包括界面和代码)。
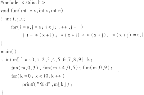
请补充fun函数,该函数的功能是:计算N×N维矩阵元素的方差,结果由函数返回。维数在主函数中输入。例如:

的计算结果是14.414。
求方差的公式为:
其中

注意:部分源程序给出如下。
请勿改动主函数main和其他函数中的任何内容,仅在函数fun的横线上填入所编写的若干表达式或语句。
试题程序如下:




-
请根据以下各小题的要求设计C应用程序(包括界面和代码)。
请补充main函数,该函数的功能是:先以只写方式打开文件“out52.dat”,再把字符串str中的字符保存到这个磁盘文件中。
注意:部分源程序给出如下。
请勿改动主函数main和其他函数中的任何内容,仅在main函数的横线上填入所编写的若干表达式或语句。
试题程序如下:


-
请根据以下各小题的要求设计C应用程序(包括界面和代码)。
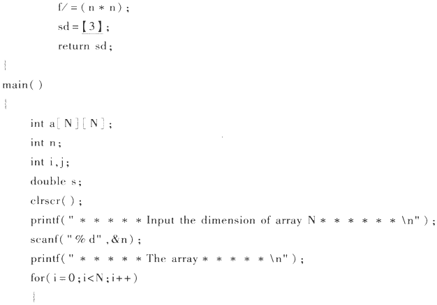
函数fun()的功能是:把形参a所指数组中的最大值放在a[0]中,接着求出a所指数组中的最小值放在 a[1]中;再把a所指数组元素中的次大值放在a[2]中,把a数组元素中的次小值放在a[3]中;其余依此类推。例如:若a所指数组中的数据最初排列为:1,4,2,3,9,6,5,8,7,则按规则移动后,数据排列为:9,1,8,2,7,3,6,4,5。形参n中存放a所指数组中数据的个数。
注意:部分源程序给出如下。
请勿改动主函数main()和其他函数中的任何内容,仅在函数fun()的横线上填入所编写的若干表达式或语句。
试题程序如下:



-
给定程序中,函数fun的功能是:找出100至x(x≤999)之间各位上的数字之和为15的所有整数然后输出;符合条件的整数个数作为函数值返回。
例如,当x值为500时,各位数字之和为15的整数有:159、168、177、186、195、249、258、267、276、285、294、339、348、357、366、375、384、393、429、438、447、456、465、474、483、492,共有26个。
请在程序的下划线处填入正确的内容并把下划线删除,使程序得出正确的结果。
注意:源程序存放在考生文件夹下的BLANK1.C中。
不得增行或删行,也不得更改程序的结构!
给定源程序:

-
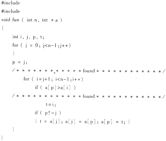
给定程序中,函数fun的功能是:将形参n所指变量中,各位上为偶数的数去除,剩余的数按原来从高位到低位的顺序组成一个新的数,并通过形参指针n传回所指变量。例如,输入一个数27638496,新的数为739。
请在程序的下划线处填入正确的内容并把下划线删除,使程序得出正确的结果。
注意:源程序存放在考生文件夹下的BLANK1.C中。
不得增行或删行,也不得更改程序的结构!
给定源程序:

-
给定程序中,函数fun的功能是计算下式

直到
,并把计算结果作为函数值返回。
例如,若形参e的值为1e-3,函数的返回值为2.985678。
请在程序的下划线处填入正确的内容并把下划线删除,使程序得出正确的结果。
注意:源程序存放在考生文件夹下的BLANK1.C中。不得增行或删行,也不得更改程序的结构!
给定源程序:

-
给定程序中,函数fun的功能是:判定形参a所指的N×N(规定N为奇数)的矩阵是否是“幻方”,若是,则函数返回值为1;若不是,则函数返回值为0。“幻方”的判定条件是:矩阵每行、每列、主对角线及反对角线上元素之和都相等。
例如,以下3×3的矩阵就是一个“幻方”:
4 9 2
3 5 7
8 1 6
请在程序的下划线处填入正确的内容并把下划线删除,使程序得出正确的结果。
注意:部分源程序给出如下。
不得增行或删行,也不得更改程序的结构!
试题程序:


-
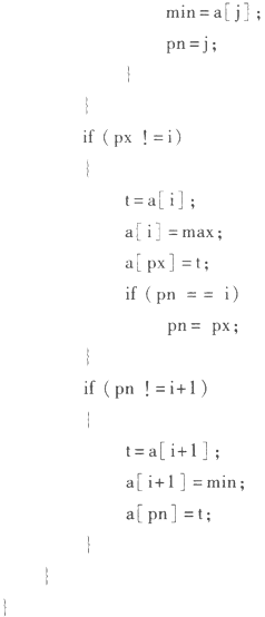
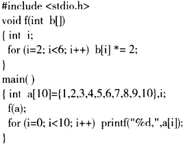
下列给定程序中,函数fun的功能是:把形参a所指数组中的偶数按原顺序依次存放到a[0]、a[1]、a[2]…中,把奇数从数组中删除,偶数的个数通过函数值返回。
例如,若a所指数组中的数据最初排列为:9、1、4、2、3、6、5、8、7,删除奇数后a所指数组中的数据为:4、2、6、8,返回值为4。
请在下划线处填入正确的内容并将下划线删除,使程序得出正确的结果。注意:部分源程序给出如下。
不得增行或删行,也不得更改程序的结构!试题程序:


-
人员的记录由编号和出生年、月、日组成,N名人员的数据已在主函数中存入结构体数组std中,且编号唯一。函数fun的功能是:找出指定编号人员的数据,作为函数值返回,由主函数输出,若指定编号不存在,返回数据中的编号为空串。
请在程序的下画线处填入正确的内容并把下画线删除,使程序得出正确的结果。注意:部分源程序给出如下。
不得增行或删行,也不得更改程序的结构!
试题程序:



-
给定程序通过定义并赋初值的方式,利用结构体变量存储了一名学生的学号、姓名和3门课的成绩。函数fun的功能是将该学生的各科成绩都乘以一个系数a。
请在程序的下画线处填入正确的内容并把下画线删除,使程序得出正确的结果。
注意:部分源程序给出如下。
不得增行或删行,也不得更改程序的结构!
试题程序:


-
请根据以下各小题的要求设计C应用程序(包括界面和代码)。
下列给定的程序中,函数fun的功能是:把主函数中输入的3个数,最大的放在a中,最小的放在c中。例如,输入的数为55 12 34,输出结果应当是:a=55.0,b=34.0,c=12.0。
请改正程序中的错误,使它能得到正确结果。
注意:不要改动main函数,不得增行或删行,也不得更改程序的结构。
试题程序如下:


-
请根据以下各小题的要求设计C应用程序(包括界面和代码)。
下列给定的程序中,函数fun的功能是:把主函数中输入的3个数,最大的放在a中,最小的放在c中。例如,输入的数为55 12 34,输出结果应当是:a=55.0,b=34.0,c=12.0。
请改正程序中的错误,使它能得到正确结果。
注意:不要改动main函数,不得增行或删行,也不得更改程序的结构。
试题程序如下:


-
请根据以下各小题的要求设计C应用程序(包括界面和代码)。
下列给定程序中,函数fun()的功能是:将n个无序整数从小到大排序。请改正程序指定部位的错误,使它能得到正确结果。注意:不要改动函数main(),不得增行或删行,也不得更改程序的结构。
试题程序如下:


-
请根据以下各小题的要求设计C应用程序(包括界面和代码)。
给定程序中函数fun()的功能是:按顺序给s所指数组中的元素赋予从2开始的偶数,然后再按顺序对每五个元素求一个平均值,并将这些值依次存放在w所指的数组中。若s所指数组中元素的个数不是5的倍数,多余部分忽略不计。
例如,s所指数组有14个元素,则只对前10个元素进行处理,不对最后的4个元素求平均值。
请改正程序中的错误,使它能得到正确结果。
注意:不要改动main()函数,不得增行或删行,也不得更改程序的结构。
试题程序如下:



-
给定程序MODI1.C中函数fun的功能是:先将s所指字符串中的字符按逆序存放到t所指字符串中,然后把s所指串中的字符按正序连接到t所指串的后面。
例如:当s所指的字符串为:“ABCDE”时,则t所指的字符串应为:“EDCBAABCDE”。
请改正程序中的错误,使它能得出正确的结果。
注意:不要改动main函数,不得增行或删行,也不得更改程序的结构!
给定源程序:

-
给定程序MODI1.C中函数fun的功能是计算“n!”。
例如,n为5,则输出120.000000。
请改正程序中的错误,使程序能输出正确的结果。
注意:不要改动main函数,不得增行或删行,也不得更改程序的结构!
给定源程序:

-
给定程序MODI1.C中函数fun的功能是:将s所指字符串的正序和反序进行连接,形成一个新串放在t所指的数组中。
例如,当s所指字符串为:“ABCD”时,则t所指字符串中的内容应为:“ABCDDCBA”。请改正程序中的错误,使它能得出正确的结果。
注意:不要改动main函数,不得增行或删行,也不得更改程序的结构!
给定源程序:


-
下列给定程序中,函数fun的功能是:传入一个整数m,计算如下公式的值。
t=1/2-1/3-…-1/m
例如,若输入5,则应输出-0.283333。
请改正程序中的错误,使它能得出正确的结果。
注意:不要改动main函数,不得增行或删行,也不得更改程序的结构!
试题程序:

-
下列给定程序中,函数fun的功能是:按以下递归公式求函数的值。

例如,当给n输入5时,函数值为18;当给n输入3时,函数值为14。请改正程序中的错误,使它能得出正确的结果。
注意:不要改动main函数,不得增行或删行,也不得更改程序的结构!试题程序:

-
下列给定程序中,函数fun的功能是:从s所指字符串中,找出t所指字符串的个数作为函数值返回。例如,当s所指字符串中的内容为“abcdabfab”,t所指字符串的内容为“ab”,则函数返回整数3。
请改正程序中的错误,使它能得出正确的结果。
注意:不要改动main函数,不得增行或删行,也不得更改程序的结构!
试题程序:


-
下列给定程序是建立一个带头节点的单向链表,并用随机函数为各节点赋值。函数fun的功能是将单向链表节点(不包括头节点)数据域为偶数的值累加起来,并且作为函数值返回。
请改正函数fun中的错误,使它能得出正确的结果。
注意:部分源程序在文件MODII.C中,不要改动main函数,不得增行或删行,也不得更改程序的结构!
试题程序:



-
请根据以下各小题的要求设计C应用程序(包括界面和代码)。
下列给定的程序中,函数fun的功能是:把主函数中输入的3个数,最大的放在a中,最小的放在c中。例如,输入的数为55 12 34,输出结果应当是:a=55.0,b=34.0,c=12.0。
请改正程序中的错误,使它能得到正确结果。
注意:不要改动main函数,不得增行或删行,也不得更改程序的结构。
试题程序如下:


-
请根据以下各小题的要求设计C应用程序(包括界面和代码)。
下列给定程序中,函数fun()的功能是:将n个无序整数从小到大排序。请改正程序指定部位的错误,使它能得到正确结果。注意:不要改动函数main(),不得增行或删行,也不得更改程序的结构。
试题程序如下:


-
请根据以下各小题的要求设计C应用程序(包括界面和代码)。
给定程序中函数fun()的功能是:按顺序给s所指数组中的元素赋予从2开始的偶数,然后再按顺序对每五个元素求一个平均值,并将这些值依次存放在w所指的数组中。若s所指数组中元素的个数不是5的倍数,多余部分忽略不计。
例如,s所指数组有14个元素,则只对前10个元素进行处理,不对最后的4个元素求平均值。
请改正程序中的错误,使它能得到正确结果。
注意:不要改动main()函数,不得增行或删行,也不得更改程序的结构。
试题程序如下:



-
给定程序MODI1.C中函数fun的功能是:先将s所指字符串中的字符按逆序存放到t所指字符串中,然后把s所指串中的字符按正序连接到t所指串的后面。
例如:当s所指的字符串为:“ABCDE”时,则t所指的字符串应为:“EDCBAABCDE”。
请改正程序中的错误,使它能得出正确的结果。
注意:不要改动main函数,不得增行或删行,也不得更改程序的结构!
给定源程序:

-
给定程序MODI1.C中函数fun的功能是计算“n!”。
例如,n为5,则输出120.000000。
请改正程序中的错误,使程序能输出正确的结果。
注意:不要改动main函数,不得增行或删行,也不得更改程序的结构!
给定源程序:

-
给定程序MODI1.C中函数fun的功能是:将s所指字符串的正序和反序进行连接,形成一个新串放在t所指的数组中。
例如,当s所指字符串为:“ABCD”时,则t所指字符串中的内容应为:“ABCDDCBA”。请改正程序中的错误,使它能得出正确的结果。
注意:不要改动main函数,不得增行或删行,也不得更改程序的结构!
给定源程序:


-
下列给定程序中,函数fun的功能是:传入一个整数m,计算如下公式的值。
t=1/2-1/3-…-1/m
例如,若输入5,则应输出-0.283333。
请改正程序中的错误,使它能得出正确的结果。
注意:不要改动main函数,不得增行或删行,也不得更改程序的结构!
试题程序:

-
下列给定程序中,函数fun的功能是:按以下递归公式求函数的值。

例如,当给n输入5时,函数值为18;当给n输入3时,函数值为14。请改正程序中的错误,使它能得出正确的结果。
注意:不要改动main函数,不得增行或删行,也不得更改程序的结构!试题程序:

-
下列给定程序中,函数fun的功能是:从s所指字符串中,找出t所指字符串的个数作为函数值返回。例如,当s所指字符串中的内容为“abcdabfab”,t所指字符串的内容为“ab”,则函数返回整数3。
请改正程序中的错误,使它能得出正确的结果。
注意:不要改动main函数,不得增行或删行,也不得更改程序的结构!
试题程序:


-
下列给定程序是建立一个带头节点的单向链表,并用随机函数为各节点赋值。函数fun的功能是将单向链表节点(不包括头节点)数据域为偶数的值累加起来,并且作为函数值返回。
请改正函数fun中的错误,使它能得出正确的结果。
注意:部分源程序在文件MODII.C中,不要改动main函数,不得增行或删行,也不得更改程序的结构!
试题程序:



-
C语言编译程序的功能是( )。
-
计算机高级语言程序的运行方法有编译执行和解释执行两种,以下叙述中正确的是( )。
-
以下叙述中错误的是( )。
-
以下叙述中错误的是( )。
-
以下叙述正确的是( )。
-
计算机能直接执行的程序是( )。
-
针对简单程序设计,以下叙述的实施步骤正确的是( )。
-
以下叙述中正确的是( )。
-
以下叙述中错误的是( )。
-
C语言源程序名的后缀是( )。
-
关于程序设计基本概念,以下叙述错误的是( )。
-
以下关于算法的叙述中错误的是( )。
-
以下叙述中错误的是( )。
-
以下选项中叙述正确的是( )。
-
流程图是描述算法的很好的工具,一般的流程图中由几种基本图形组成。其中判断框的图形是( )。
-
构成C程序的三种基本结构是( )。
-
C语言主要是借助以下( )功能来实现程序模块化的。
-
以下选项中叙述正确的是( )。
-
以下选项中关于程序模块化的叙述错误的是( )。
-
以下关于结构化程序设计的叙述中正确的是( )。
-
以下叙述中错误的是( )。
-
以下叙述中正确的是( )。
-
以下选项中叙述正确的是( )。
-
结构化程序由顺序、选择、循环三种基本结构组成,以下相关叙述错误的是( )。
-
以下选项中叙述正确的是( )。
-
以下叙述错误的是( )。
-
以下叙述正确的是( )。
-
以下叙述中正确的是( )。
-
以下叙述中错误的是( )。
-
以下叙述中错误的是( )。
-
以下叙述中正确的是( )。
-
下列叙述中错误的是( )。
-
下列叙述中错误的是( )。
-
以下叙述正确的是( )。
-
对于一个正常运行的C程序,以下叙述中正确的是( )。
-
下列叙述中正确的是( )。
-
以下叙述正确的是( )。
-
以下关于C语言的叙述中正确的是( )。
-
以下叙述中正确的是( )。。
-
以下选项中叙述正确的是( )。
-
以下叙述中正确的是( )。
-
以下叙述中错误的是( )。
-
以下四个程序中,完全正确的是( )。
-
有以下程序

程序运行后的输出结果是( )。
-
关于C语言的变量名,以下叙述正确的是( )。
-
以下选项中叙述正确的是( )。
-
C语言中的标识符分为关键字、预定义标识符和用户标识符,以下叙述中正确的是( )。
-
关于C语言标识符,以下叙述错误的是( )。
-
按照C语言规定的用户标识符命名规则,不能出现在标识符中的是( )。
-
以下C语言用户标示符中,不合法的是( )。
-
以下选项中,能用作用户标识符的( )。
-
以下选项中可用作c语言中合法用户标识符的是( )。
-
以下选项中合法的标识符是( )。
-
以下选项中不合法的标识符是( )。
-
下列定义变量的语句中错误的是( )。
-
以下叙述中错误的是( )。
-
以下选项中关于C语言常量的叙述错误的是( )。
-
以下选项中不能用作C程序合法常量的是( )。
-
以下选项中能表示合法常量的是( )。
-
以下选项中能表示合法常量的是( )。
-
以下选项中不能作为C语言合法常量的是( )。
-
以下选项中,合法的C语言常量是( )。
-
以下选项中,能用作数据常量的是( )。
-
以下选项中,合法的数值型常量是( )。
-
以下选项中,合法的一组C语言数值常量是( )。
-
以下选项中正确的定义语句是( )。
-
以下定义语句中正确的是( )。
-
以下关于C语言数据类型使用的叙述中错误的是( )。
-
设有两行定义语句:
int scanf;
float case;
则以下叙述正确的是( )。
-
阅读以下程序:

该程序在编译时产生错误,其出错原因是( )。
-
C语言中,最基本的数据类型包括( )。
-
C语言整数不包括( )。
-
C源程序中不能表示的数制是( )。
-
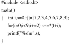
有以下程序:

程序运行后的输出结果是( )。
-
有以下程序(其中k的初值为八进制数):

程序运行后的输出结果是( )。
-
有如下程序:

程序运行后的输出结果是( )。
-
有如下程序:

程序运行后的输出结果是( )。
-
有以下程序:

程序运行后的输出结果是( )。
-
若函数中有定义语句int k;,则( )。
-
有以下程序

在VC++6.0平台上编译运行,程序运行后的输出结果是( )。
-
关于C语言中数的表示,以下叙述中正确的是( )。
-
下列形式中不合法的常量是( )。
-
以下选项中表示一个合法的常量是(说明:符号 表示空格)( )。
-
以下选项中可用作C程序合法实数的是( )。
-
以下选项中,能用作数据常量的是( )。
-
以下选项中,合法的C语言实数是( )。
-
以下不合法的数值常量是( )。
-
以下选项中,合法的数值型常量是( )。
-
在C语言中,以下选项中不能正确表示10×1000之值的是( )。
-
若有定义语句int a=10;double b=3.14;,则表达式'A'+a+b值的类型是( )。
-
若有定义int a=1,b=2,c=3;,则执行表达式(a=b+c)

(++b)后a、b、c的值依次为( )。
-
C语言程序中,运算对象必须是整型数的运算符是( )。
-
以下不能用于实型数据的运算符是( )。
-
设x、y、z均为实型变量,代数式
在C语言中的正确写法是( )。
-
以下不能正确表示代数式
的C语言表达是( )。
-
若在程序中变量均已定义成int类型,且已赋大于1的值,则下列选项中能正确表示代数式
的表达式是( )。
-
设变量x为long int型并已正确赋值,以下表达式中能将x的百位上的数字提取出来的是( )。
-
以下可以将任意一个两位整数n的个位数与十位数对换的表达式为( )。
-
设有以下程序段:
int y:
y=rand( )%30+1;
则变量y的取值范围是( )。
-
若有定义语句int x=12,y=8,z;,其后执行语句z=0.9+x/y,则z的值为( )。
-
表达式:(int)((double)9/2)-9%2的值是( )。
-
表达式:(int)((double)9/2-(9)%2)的值是( )。
-
设有定义:int x=7,y=12;,则以下表达式值为3的是( )。
-
表达式3.6-5/2+1.2+5%2的值是( )。
-
表达式a+=a-=a=9的值是( )。
-
以下能正确表述算式sin(2πr+30°)的C语言表达式是( )。
-
有以下定义int a;long b;double x,y;,则以下选项中正确的表达式是( )。
-
设有定义int x=2;,以下表达式中,值不为6的是( )。
-
若变量x、y已正确定义并赋值,以下符合C语言语法的表达式是( )。
-
已知大写字母A的ASCII码是65,小写字母a的ASCII码是97。以下不能将变量c中的大写字母转换为对应小写字母的语句是( )。
-
以下选项中,当x为大于1的奇数时,值为0的表达式是( )。
-
以下选项中,值为1的表达式是( )。
-
有以下程序:

程序的运行结果是( )。
-
有以下程序:

程序运行后输出的结果是( )。
-
有以下程序:

编译时编译器提示错误信息,你认为出错的语句是( )。
-
有如下程序:

程序运行后的输出结果是( )。
-
有以下程序:

程序运行后的输出结果是( )。
-
有以下程序:

程序的运行结果是( )。
-
有以下程序:

程序运行后的输出结果是( )。
-
若变量已正确定义并赋值,则错误的赋值语句是。
-
设a,b,c是整型变量且均已赋值,则以下选项中错误的赋值语句是( )。
-
设有定义:int a=0,b=1,c=1;以下选项中,表达式值与其他三个不同的是( )。
-
若有定义int a,b,c;以下选项中的赋值语句正确的是( )。
-
设a,b,C是整型变量,且已正确赋初值,以下选项中错误的赋值语句是( )。
-
若已有定义语句:int a,b,c;,且变量已正确赋初值,则以下选项中正确的赋值表达式是( )。
-
若想给已定义为int型的变量a、b、c、d赋整数1,以下选项中错误的语句是( )。
-
若有定义double a=22;int i=0,k=18;,则不符合C语言规定的赋值语句是( )。
-
设变量已正确定义并赋值,以下正确的表达式是( )。
-
若变量均已正确定义并赋值,以下合法的c语言赋值语句是( )。
-
以下选项中合法的C语言赋值语句是( )。
-
设有定义:int x=11,y=12,z=0;,以下表达式值不等于12的是( )。
-
若有定义语句int x=10;则表达式x-=x+x的值为( )。
-
若有定义语句:int a=12;,则执行语句:a+=a-=a*a;后,a的值是( )。
-
有以下定义:

则以下选项中正确的表达式是( )。
-
有以下程序

程序运行后的输出结果是( )。
-
设有定义:
int k=0;
以下选项的四个表达式中与其他三个表达式的值不相同的是( )。
-
设变量均已正确定义并且赋值,以下与其他三组输出结构不同的一组语句是( )。
-
有以下程序:

程序运行后的输出结果是( )。
-
有以下程序:

程序的运行结果是( )。
-
有以下程序:

程序运行时键盘输入9<回车>,则输出的结果是( )。
-
有以下程序:

程序运行后的输出结果是( )。
-
有以下程序:

程序运行后的输出结果是( )。
-
有以下程序:

程序的运行结果是( )。
-
有以下程序

程序运行后的输出结果是( )。
-
以下程序段中的变量已定义为int类型,则

程序段的输出结果是( )。
-
有以下程序

程序的输出结果是( )。
-
有以下程序

执行后的输出结果是( )。
-
有如下程序:

程序运行后的输出结果是( )。
-
有如下程序:

程序运行后的输出结果是( )。
-
以下叙述中正确的是( )。
-
以下叙述中正确的是( )。
-
以下能正确输出字符a的语句是( )。
-
以下不能输出字符A的语句是( )。(注:字符A的ASCII码值为65,字符a的ASCII码值为97。)
-
设有定义:double x=2.12;,以下不能完整输出变量x值的语句是( )。
-
有以下程序:

程序的运行结果是( )。(£代表一个空格)
-
有以下程序:

程序的运行结果是( )。
-
有以下程序段:

已知字符a的ASCII码十进制值为97,则执行上述程序段后输出的结果是( )。
-
有以下程序:

程序运行后的输出结果是( )。
-
程序段:
的输出结果是( )。
-
有以下程序

程序的输出结果是( )。
-
有以下程序

当执行程序时,按下列方式输入数据(从第1列开始,<CR>代表回车,注意,回车也是一个字符),
12<CR>
34<CR>
则输出结果是( )。
-
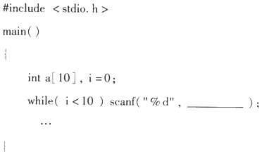
设有chars[5],c;,则调用函数scanf能正确给s和c读入数据的是( )。
-
设有定义:int a,b;float x,y;,则以下选项中对语句所作的注释叙述错误的是( )。
-
若有定义和语句int a,b;scanf("%d,%d",&a,&b);,以下选项中的输入数据,不能把值3赋给变量 a、5赋给变量b的是( )。
-
若有定义int a,b;,通过语句scanf("%d;%d",&a,&b);,能把整数3赋给变量a,5赋给变量b的输入数据是( )。
-
若有定义:int a,b:
通过语句
能把整数3赋给变量a,5赋给变量b的输入数据是( )。
-
设有以下语句:
char ch1,ch2,scanf("%c%c",&ch1,&ch2);
若要为变量ch1和ch2分别输入字符A和B,正确的输入形式应该是( )。
-
有以下程序段:char c1,c2,c3;scanf("%c%c%c",&c1,&c2,&c3.;若要给c1、c2、c3分别输入字母A、B、C,则以下对输入形式的描述正确的是( )。
-
若有定义:int a;float b;double c;,程序运行时输入:a=1,b=2,c=3<回车>,能把值1输入给变量a、值2输入给变量b、值3输入给变量C的输入语句是( )。
-
若有定义语句double x,y,*px,*py;,执行了px=&x;py=&y;之后,输入语句正确的是( )。
-
若有定义语句
int a,b,c,*p=&c;
接着执行以下选项中的语句,则能正确执行的语句是( )。
-
有以下程序段:
char name[20];int num;
scanf(″name=%s num=%d″,name,&num):
当执行上述程序段,并从键盘输入:name=Lili num=1001<回车>后,name的值为( )。
-
设有定义double x[10],*p=x;,以下能给数组x下标为6的元素读入数据的正确语句是( )。
-
有以下程序:

若想通过键盘输入,使得a1的值为12,a2的值为34,c1的值为a,c2的值为b,程序运行后的输出结果是:12,a,34,b,则正确的输入格式是(以下
代表空格,<CR>代表回车)( )。
-
有以下程序

若想通过键盘输入,使得a1的值为12,a2的值为34,c1的值为字符a,c2的值为字符b,程序输出结果是:12,a,34,b,则正确的输入格式是(以下□代表空格,<CR>代表回车)( )。
-
若变量已正确定义为int型,要通过语句scanf(″%d,%d,%d″,&a.&b,&c);给a赋值1、给b赋值2、给c赋值3,以下输入形式中错误的是( )。(注:
代表一个空格符)
-
若变量已正确定义为int型,要通过语句scanf("%d,%d,%d",&a,&b,&c);给a赋值1,给b赋值2,给C赋值3,以下输入形式中错误的是(u代表一个空格)( )。
-
若变量已正确定义为int型,要通过语句

给a赋值1、给b赋值2、给c赋值3,以下输入形式中错误的是(注:□代表一个空格符)( )。
-
设变量均已正确定义,若要通过

语句为变量a1和a2赋数值10和20,为变量c1和c2赋字符X和Y。以下所示的输入形式中正确的是(注:口代表空格字符)( )。
-
设变量均已正确定义,若要通过“scanf("%d%c%d%c",&a1,&c1,&a2,&c2.;”语句为变量a1和a2赋数值10和20,为变量c1和c2赋字符X和Y。以下所示的输入形式中正确的是( )(口代表空格字符)。
-
若有定义

程序运行时输入:
3 4 5<回车>
能把值3输入给变量a、4输入给变量b、5输入给变量C的语句是( )。
-
有以下程序

程序运行后,若从键盘输入(从第1列开始)
123<回车>
45678<回车>
则输出结果是( )。
-
有以下程序段

当执行上述程序段,从键盘上输入55566 7777123后,y的值为( )。
-
若有定义

则a和b的值分别是( )。
-
有以下结构体说明、变量定义和赋值语句

则以下scanf函数调用语句有错误的是( )。
-
有以下程序段

程序的输出结果是( )。
-
以下关于逻辑运算符两侧运算对象的叙述中正确的是( )。
-
以下关于C语言数据类型使用的叙述中错误的是( )。
-
以下选项中,能表示逻辑值“假”的是( )。
-
下列关系表达式中,结果为“假”的是( )。
-
以下表达式的值与X无关、其值恒为真的是( )。
-
当变量c的值不为2、4、6时,值也为“真”的表达式是( )。
-
设有定义:int a=0,b=1;,以下表达式中,会产生“短路”现象,致使变量b的值不变的是( )。
-
若有定义语句int b=2;,则表达式(b<<2)/(3
b)的值是( )。
-
若a是数值类型,则逻辑表达式(a==1)
(a!=1)的值是( )。
-
以下选项中,当x为大于1的奇数时,值为0的表达式是( )。
-
若有定义语句int k1=10,k2=20;,执行表达式(k1=k1>k2)&&(k2=k2>k1)后,k1和k2的值分别为( )。
-
已知a=5,b=6,c=7,d=8,m=2,n=2,执行(m=a>b)&&(n=c<d)后n的值为( )。
-
执行以下程序段后,w的值为( )。

-
有以下程序:

程序运行后的输出结果是( )。
-
有以下程序:

程序运行后的输出结果是( )。
-
有以下程序:

程序运行后的输出结果是( )。
-
以下叙述中正确的是( )。
-
if语句的基本形式是:if(表达式)语句,以下关于“表达式”值的叙述中正确的是( )。
-
以下是if语句的基本形式:
if(表达式)语句
其中“表达式”( )。
-
对于if(表达式)语句,以下叙述正确的是( )。
-
若变量已正确定义。在if(W) printf(″%d ″,k);中,以下不可替代W的是( )。
-
为了避免在嵌套的if-else语句中产生二义性,C语言规定与else子句配对是( )。
-
下列条件语句中,输出结果与其他语句不同的是( )。
-
设有定义:
int a=1,b=2,c=3;
以下语句中执行效果与其他三个不同的是( )。
-
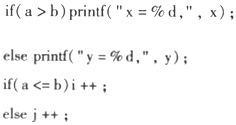
有以下程序段,若变量已正确定义并赋值( )。

则与此程序段功能相同的选项是( )。
-
有以下程序:

程序运行后的输出结果是( )。
-
有以下程序段:

该程序段的功能是( )。
-
有以下程序段:

该程序段的功能是( )。
-
以下程序的功能是判断输入的一个整数是否能被3或7整除,若能整除,输出YES,否则输出NO。在下划线处应填入的选项是( )。

-
有以下程序:

程序运行后的输出结果是( )。
-
有以下程序:

若运行时输入:35<回车>,则输出结果是( )。
-
有以下程序段:

程序运行后的输出结果是( )。
-
若变量已正确定义,有以下程序段:

其输出结果是( )。
-
以下函数按每行8个输出数组中的数据:

下画线处应填入的语句是( )。
-
有以下程序:

程序的运行结果是( )。
-
有以下程序:

程序运行的结果是( )。
-
有以下程序:

程序运行后的输出结果是( )。
-
在以下程序:

程序运行后的输出结果是( )。
-
有以下程序:

程序运行时,输入的值在( )范围才会有输出结果。
-
若有以下程序

则程序的输出结果是( )。
-
有以下程序

程序输出( )。
-
有如下程序:

程序运行后的输出结果是( )。
-
有以下计算公式:

若程序前面已在命令行中包含math.h文件,不能够计算上述公式的程序段是( )。
-
如有表达式(w)?(-x):(++y),则其中与w等价的表达式是( )。
-
若有定义“int x,y;”并已正确给变量赋值,则以下选项中与表达式(x-y)?(x++):(y++)中的条件表达式(x-y)等价的是( )。
-
有如下嵌套的if语句:

以下选项中与上述if语句等价的语句是( )。
-
以下程序段中,与语句k=a>b?(b>c?1:0):0;功能相同的是( )。
-
有语句:k=x<y?(y<z?1:0):0;,以下选项中,与此语句功能相同的是( )。
-
以下程序段中,不能实现条件“如果
则x=10,否则x=-10”的是( )。
-
若有定义:inta=0,b=0,c=0,d=0;,有C语言表达式(a++&&b++)?c++:d++,以下关于其执行顺序的叙述正确是( )。
-
若有定义:int a=0,b=0,c=0,d=0;,以下关于C语言表达式:(++a
++b)? ++c:++d执行顺序的叙述正确的是( )。
-
有以下程序:

程序运行后的输出结果是( )。
-
有以下程序

程序的输出结果是( )。
-
有以下程序:

程序的运行结果是( )。
-
有以下程序:

程序的运行结果是( )。
-
下列叙述中正确的是( )。
-
若有定义:

则正确的switch语句是( )。
-
若以下选项中的变量全部为整型变量,且已正确定义并赋值,则语法正确的switch语句是( )。
-
若有定义语句int a,b;double x;,则下列选项中没有错误的是( )。
-
以下选项中与if(a==1) a=b;else a++;语句功能不同的switch语句是( )。
-
有以下程序:

程序的运行结果是( )。
-
有以下程序:

程序运行后从第一列开始输入以下数据:
2473<回车>
程序的输出结果是( )。
-
有以下程序:

执行时输入:123<回车>,则输出结果是( )。
-
有以下程序:

程序的运行情况是( )。
-
有以下程序:

运行时,若输入1 2 3 4 5 0<回车>,则输出结果是( )。
-
有以下程序:

以下关于程序执行情况的叙述中,正确的是( )。
-
有以下程序:

程序运行后的输出结果是( )。
-
有以下程序:

程序的运行结果是( )。
-
有以下程序

程序的运行结果是( )。
-
有以下程序


程序运行后的输出结果是( )。
-
有以下程序:

程序的运行结果是( )。
-
在以下给出的表达式中,与while(E)中的(E)不等价的表达式是( )。
-
要求通过while循环不断读入字符,当读入字母N时结束循环。若变量已正确定义,以下正确的程序段是( )。
-
对于“while(!E)s;”,若要执行循环体s,则E的取值应为( )。
-
关于“while(条件表达式)循环体”,以下叙述正确的是( )。
-
有以下程序:

以下叙述中正确的是( )。
-
若要实现total=1+2+3+4+5求和,以下程序段错误的是( )。
-
有以下程序:

程序运行后的输出结果是( )。
-
有以下程序

执行后的输出结果是( )。
-
有以下程序

程序运行后的输出结果是( )。
-
有以下程序:

程序运行后的输出结果是( )。
-
有以下程序:

程序运行后的输出结果是( )。
-
若有以下程序

则程序的输出结果是( )。
-
有以下程序

程序运行后输出结果是( )。
-
以下叙述正确的是( )。
-
以下程序段中,循环次数不超过10的是( )。
-
以下能够实现计算5!的程序段是( )。
-
若变量已正确定义,有以下程序段

其输出结果是( )。
-
若有以下程序

则程序的输出结果是( )。
-
有以下程序:

程序的执行结果是( )。
-
有以下程序:

程序的输出结果是( )。
-
有以下程序:

程序的运行结果是( )。
-
有以下程序(注:字符a的ASCII码值为97):

程序运行后的输出结果是( )。
-
有以下程序:

执行时如输入:abcdefg##<回车>,则输出结果是( )。
-
有以下程序:

程序运行的结果是( )。
-
有以下程序:

程序的运行结果是( )。
-
以下叙述中正确的是( )。
-
若变量已正确定义
for(x=0,y=0;(y!=99&&x<4);x++)则以上for循环( )。
-
若变量已正确定义,则以下for循环( )。

-
若k是int类型变量,且有以下for语句:
for(k=-1;k<0;k++)printf("****\n"):
下面关于语句执行情况的叙述中正确的是( )。
-
若i和k都是int类型变量,有以下for语句:
for=(i=0,k=-1;k=1;k++)printf(″* * * * * ″)
下面关于语句执行情况的叙述中正确的是( )。
-
有如下程序段:
int k;
for(k=2;k==0;)
printf(“%d”,k--);
则for循环体执行的次数是( )。
-
以下不构成无限循环的语句或者语句组是( )。
-
以下程序段中,与其他三个功能不同的程序段是( )。
-
有以下程序:

程序运行后的输出结果是( )。
-
有以下程序:

程序的运行结果是( )。
-
有如下程序:

程序运行后的输出结果是( )。
-
以下函数的功能是计算a的n次方作为函数值返回:

为实现上述功能,函数中下画线处应填入的是( )。
-
有以下程序:

程序运行后的输出结果是( )。
-
有以下程序:

程序运行后的输出结果是( )。
-
以下函数findmax拟实现在数组中查找最大值并作为函数值返回,但程序中有错,导致不能实现预定功能。

造成错误的原因是( )。
-
设变量已正确定义,以下不能统计出一行中输入字符个数(不包含回车符)的程序段是( )。
-
有以下程序:

程序的运行结果是( )。
-
有以下程序:

程序的运行结果是( )。
-
有以下程序

程序的运行结果是( )。
-
有以下程序

执行后的输出结果是( )。
-
有以下程序

程序运行后的输出结果是( )。
-
若有以下程序

则程序的输出结果是( )。
-
有以下程序:

程序运行的结果是( )。
-
有以下程序:

程序运行后的输出结果是( )。
-
有以下程序:

}
程序的运行结果是( )。
-
有以下程序

程序执行后的输出结果是( )。
-
有以下程序:

程序运行后的输出结果是( )。
-
以下程序段中的变量已正确定义:

程序段的输出结果是( )。
-
有以下程序

程序的运行结果是( )。
-
有以下程序


程序运行后的输出结果是( )。
-
有以下程序

程序的运行结果是( )。
-
以下叙述中正确的是( )。
-
以下叙述中正确的是( )。
-
有如下程序:

程序运行时,从键盘输入:3<回车>后,程序输出结果为( )。
-
有如下程序:

程序运行时,从键盘输入:3<回车>后,程序输出结果为( )。
-
有以下程序:

程序运行后的输出结果是( )。
-
有以下程序:


程序运行后的输出结果是( )。
-
下列叙述中正确的是( )。
-
下列叙述中正确的是( )。
-
若有定义语句char c=‘A';则变量C在内存中占( )。
-
以下选项中非法的字符常量是( )。
-
以下选项中不属于字符常量的是( )。
-
以下不合法的字符常量是( )。
-
以下选项中非法的C语言字符常量是( )。
-
在源程序的开始处加上“#include<stdio.h>”进行文件引用的原因,以下叙述正确的是( )。
-
有以下程序:

程序运行后的输出结果是( )。
-
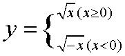
若有代数式
(其中e仅代表自然对数的底数,不是变量),则以下能够正确表示该代数式的C语言表达式是( )。
-
以下叙述正确的是( )。
-
若函数调用时的实参为变量时,以下关于函数形参和实参的叙述中正确的是( )。
-
以下叙述中错误的是( )。
-
以下叙述中错误的是( )。
-
以下叙述中正确的是( )。
-
C语言程序中,若函数无返回值,则应该对函数说明的类型是( )。
-
以下叙述中错误的是( )。
-
以下关于return语句的叙述中正确的是( )。
-
以下叙述中错误的是( )。
-
以下关于函数的叙述中正确的是( )。
-
下面的函数调用语句中func函数的实参个数是( )。
func(f2(v1,v2),(v3,v4,v5),(v6,max(v7,v8)));
-
函数调用语句:fun((exp1,exp2),(exp1,exp2,exp3));含有的实参个数是( )。
-
avg函数的功能是求整型数组中的前若干个元素的平均值,设数组元素个数最多不超过10,则下列函数说明语句错误的是( )。
-
以下程序的主函数中调用了在其前面定义的函数fun:

则以下选项中错误的fun函数首部是( )。
-
在C语言程序中,下列说法中正确的是( )。
-
设有函数定义:void sub(int k,char ch)
…
则以下对函数sub的调用语句中,正确的是( )。
-
有以下程序:

程序运行后的输出结果是( )。
-
有以下函数:

程序运行后的输出结果是( )。
-
有以下函数:

程序运行后的输出结果是( )。
-
有如下程序:

程序运行后的输出结果是( )。
-
有以下程序

程序运行后的输出结果是( )。
-
有以下程序:

程序运行后的输出结果是( )。
-
有以下程序:

程序运行后的输出结果是( )。
-
有以下程序:

程序运行后的输出结果是( )。
-
有以下程序:


程序运行后的输出结果是( )。
-
有以下程序:

程序运行后的输出结果是( )。
-
有以下程序

程序运行后的输出结果是( )。
-
有以下程序

程序运行后的输出结果是( )。
-
有以下程序

程序执行后输出结果是( )。
-
若有以下函数首部
int fun(double x[10],int*n)
则下面针对此函数的函数声明语句中正确的是( )。
-
若各选项中所用变量已正确定义,函数fun中通过return语句返回一个函数值,以下选项中错误的程序是( )。
-
有以下程序:

则以下叙述正确的是( )。
-
以下关于C语言函数参数传递方式的叙述正确的是( )。
-
有以下程序:

程序运行后的输出结果是( )。
-
有以下程序:

程序运行的结果是( )。
-
以下叙述中错误的是( )。
-
以下关于指针的叙述正确是( )。
-
关于地址和指针,以下说法正确的是( )。
-
以下关于指针的叙述,错误的是( )。
-
以下叙述中错误的是( )。
-
有以下程序:

程序运行后的输出结果是( )。
-
若有定义语句:
double a,*p=&a;
以下叙述中错误的是( )。
-
设有定义:int a,b[10],*c=NULL,*p;,则以下语句错误的是( )。
-
已定义以下函数
Int fun(int*p)
return *p;
fun函数返回值是( )。
-
设有定义:
int x=0,*p;
紧接着的赋值语句正确的是( )。
-
设已有定义:
float x;
则以下对指针变量p进行定义且赋初值的语句中正确的是( )。
-
设变量p是指针变量,语句p=NULL;是给指针变量赋NULL值,它等价于( )。
-
以下程序中关于指针输入格式正确的是( )。
-
若有定义语句:
double x,y,*px,*py;
执行
px=&x;py=&y;
正确的输入语句是( )。
-
有以下程序

该程序试图通过指针p为变量n读入数据并输出,但程序有多处错误,以下语句正确的是( )。
-
有以下程序:

程序运行后的输出结果是( )。
-
有以下程序

执行后的输出结果是( )。
-
以下叙述中正确的是( )。
-
以下叙述中正确的是( )。
-
若有定义语句int year=2009,*p=&year;,以下不能使用变量year中的值增至2010的语句是( )。
-
有以下程序:

程序运行后的输出结果是( )。
-
有如下程序:

程序运行后的输出结果是( )。
-
有以下程序:

程序运行后的输出结果是( )。
-
有以下程序

程序运行后的输出结果是( )。
-
有以下程序

程序运行后的输出结果是( )。
-
以下程序的功能是:通过调用calc函数,把所求得的两数之和值放入变量add中,并在主函数中输出。

calc函数中下划线处应填入的是( )。
-
有以下程序:

程序运行后的输出结果是( )。
-
有如下程序:

程序运行后的输出结果是( )。
-
有如下程序:

程序运行后的输出结果是( )。
-
有以下程序:

程序运行后的输出结果是( )。
-
有以下程序:

程序的运行结果是( )。
-
以下选项中,不能对主函数中变量i和j的值进行交换的程序是( )。
-
有以下程序:

程序运行后的输出结果是( )。
-
有以下程序:

程序的运行结果是( )。
-
有以下程序:

程序运行后的输出结果是( )。
-
若有以下程序

则程序的输出结果是( )。
-
有以下程序

程序的输出结果是( )。
-
有以下程序

程序的输出结果是( )。
-
有以下程序

程序执行后的输出结果是( )。
-
有以下程序:

程序的运行结果是( )。
-
有以下程序:

程序运行后的输出结果是。
-
有以下程序

程序的运行结果是( )。
-
有以下程序

程序执行后的输出结果是( )。
-
以下叙述中正确的是( )。
-
以下叙述中正确的是( )。
-
以下选项中叙述正确的是( )。
-
以下叙述中错误的是( )。
-
若要定义一个具有5个元素的整型数组,以下定义语句错误的是( )。
-
设有如下程序段:
int a[8]=
0
;
int b[]=
0
;
char c[2]=
"A","B"
;
char d=“AB”:
以下叙述正确的是( )。
-
下列选项中,能正确定义数组的语句是( )。
-
下列定义数组的语句中,正确的是( )。
-
要求定义一个具有6个元素的int型一维数组,以下选项中错误的是( )。
-
若有定义语句int n1[]=
5,4,3,2,1
,i=4;,则下面对m数组元素的引用中错误的是( )。
-
若有说明语句:int*ptr[10];以下叙述正确的是( )。
-
有以下程序

程序的运行结果是( )。
-
设有n个数按从大到小的顺序存放在数组x中,以下能使这n个数在x数组中的顺序变为从小到大的是( )。
-
设有一个M*N的矩阵已经存放在一个M行N列的数组x中,且有以下程序段:
sum=0;
for(i=0;i<M;i++)sum+=x[i][0]+x[i][N~1];
for(j=1;j<N-1;j++)sum+=x[0][j]+x[M-1][j];
以上程序段计算的是( )。
-
有以下程序段:
int*p1,*p2,a[10];
p1=a;
p2=&a[5];
则p2-p1的值为( )。
-
设有如下定义语句:
int m[ ]=
2,4,6,8
,*k=m;
以下选项中,表达式的值为6的是( )。
-
设有定义:int a[10]=
0,1,2,3,4,5,6,7,8,9
,*p=a,i;,若0≤i≤9,则对a数组元素的引用错误的是( )。
-
设有定义
double a[10],*s=a;
以下能够代表数组元素a[3]的是( )。
-
若有以下定义
int x[10],*pt=x;
则对x数组元素的正确引用是( )。
-
执行以下程序段后,s的值为( )。

-
有以下程序

程序执行后的输出结果是( )。
-
有以下程序:

程序运行后的输出结果是( )。
-
有以下程序:

程序的运行结果是( )。
-
fun函数的功能是:通过键盘输入给x所指的整型数组所有元素赋值。在下画线处应该填写的是( )。

-
以下函数的功能是:通过键盘输入数据,为数组中的所有元素赋值( )。

在程序中下画线处应填入的是( )。
-
以下程序中给数组所有元素输入数据,请从选项中选择正确的答案填入下划线处。

-
有以下程序:

程序运行后的输出结果是( )。
-
有以下程序:

程序运行后的输出结果是( )。
-
有以下程序

程序的输出结果是( )。
-
有如下程序:

程序运行后的输出结果是( )。
-
有以下程序:

程序运行后的输出结果是( )。
-
有如下程序:

程序运行后的输出结果是( )。
-
有以下程序:

程序的运行结果是( )。
-
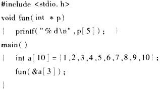
若有函数声明:void fun(float array[],int*ptr);以下叙述正确的是( )。
-
若有函数:
viod fun(double a[],int* n)
……
以下叙述中正确的是( )。
-
若主函数中有定义语句int a[10],b[10],c;,在主函数前定义的fun函数首部为void fun(int x [ ]),则以下选项中错误的调用语句是( )。
-
有以下程序

程序运行后的输出结果是( )。
-
有以下程序

程序的运行结果是( )。
-
有以下程序:

程序的运行结果是( )。
-
有以下程序:

程序运行后的输出结果是( )。
-
有以下程序:

程序运行后的输出结果是( )。
-
若有以下程序

则程序的输出结果是( )。
-
以下程序中函数f的功能是:当flag为1时,进行由小到大排序;当flag为0时,进行由大到小排序。

程序运行后的输出结果是( )。
-
有以下程序:

程序运行后的输出结果是( )。
-
有以下程序

程序运行后的输出结果是( )。
-
有以下程序:

程序运行后的输出结果是( )。
-
有如下程序:

程序运行后的输出结果是( )。
-
有如下程序:

程序运行后的输出结果是( )。
-
有以下程序

程序的运行结果是( )。
-
有以下程序(函数fun只对下标为偶数的元素进行操作):


程序运行后的输出结果是( )。
-
有以下程序:

程序的运行结果是( )。
-
有以下程序:

程序的运行结果是( )。
-
有以下程序:

程序运行的结果是( )。
-
有以下程序:

程序运行后的输出结果是( )。
-
有以下程序:

程序运行后的输出结果是( )。
-
有以下程序

程序的运行结果是( )。
-
设有定义intx[2][3];,则以下关于二维数组x的叙述中错误的是( )。
-
以下定义数组的语句中错误的是( )。
-
以下错误的定义语句是( )。
-
以下数组定义中错误的是( )。
-
若有定义语句:int m[ ][3]=
1,2,3,4,5,6,7
;,则与该语句等价的是( )。
-
若有定义:int a[2][3];,以下选项中对a数组元素正确引用的是( )。
-
有如下程序:

程序运行后的输出结果是( )。
-
有以下程序:
#include<stdio.h>
main()
int i,k;
int array[4][2]=
1,0
,
0
,
2,9
,
3
;
for(i=0;i<2;i++)
for(k=0;k<3;k++)
printf(“%d,”,array[k][i]);
printf(“\n”);
程序运行后的输出结果是( )。
-
有以下程序

程序运行后的输出结果是( )。
-
有以下程序

程序运行后的输出结果是( )。
-
有以下程序

程序运行后的输出结果是( )
-
有以下程序

程序执行后的输出结果是( )。
-
有以下程序:

程序的运行结果是( )。
-
若有定义语句:char s[3][10],(*k)[3],*p;,则以下赋值语句正确的是( )。
-
有定义语句int * p[4];,以下选项中与此语句等价的是( )。
-
若有定义int(* pt)[3];,则下列说法中正确的是( )。
-
若有定义语句:int a[4][10],*p,*q[4];且0≤i<4,则错误的赋值是( )。
-
若有定义语句:
int a[2][3],*p[3];
则以下语句中正确的是( )。
-
若有定义:
int w[3][5];
则以下不能正确表示该数组元素的表达式是( )。
-
设有以下说明和语句:int x[3][4],(* p)[4];p=a;,则与表达式*(*p+2)等价的选项是( )。
-
有以下程序

若运行时输入:2 4 6<回车>,则输出结果为( )。
-
有以下程序:

程序的运行结果是( )。
-
有以下程序:

程序的运行结果是( )。
-
有以下程序:

程序的运行结果是( )。
-
有以下程序

程序运行后的输出结果是( )。
-
有以下程序:

程序运行后的输出结果是( )。
-
有以下程序:

程序的运行结果是( )。
-
有以下程序:

程序运行的结果是( )。
-
有以下程序:

程序运行后的输出结果是( )。
-
有以下程序:

程序运行后输出的结果是( )。
-
有以下程序:

程序的运行结果是( )。
-
若有以下程序

则程序的输出结果是( )。
-
有以下程序:

程序运行的结果是( )。
-
有以下程序:

程序的运行结果是( )。
-
有以下程序:

程序的运行结果是( )。
-
有以下程序:

程序的运行结果是( )。
-
有以下程序:

程序运行的结果是( )。
-
下面是有关C语言字符数组的描述,其中错误的是( )。
-
设有定义语句int(*f)(int);,则以下叙述中正确的是( )。
-
设有以下函数:
void fun(int n,char * s)
……
则下面对函数指针的定义和赋值均是正确的是( )。
-
有以下程序

则以下函数调用语句错误的是( )。
-
以下叙述中正确的是( )。
-
有以下程序

执行程序时,给变量x输入10,程序的输出结果是( )。
-
有以下程序:

程序的运行结果是( )。
-
有如下程序:

程序运行后的输出结果是( )。
-
设有如下函数定义:

若执行调用语句:n=fun(3);,则函数fun()总共被调用的次数是( )。
-
以下程序:

程序运行后的结果是( )。
-
有以下程序:

程序运行后的输出结果是( )。
-
有如下程序:

程序运行时,输入1234<回车>,则输出结果是( )。
-
有以下程序

执行后的输出结果是( )。
-
有以下程序:

程序的运行结果是( )。
-
有以下程序:

程序运行后的输出结果是( )。
-
有以下程序:

程序运行的结果是( )。
-
若有以下程序

则程序的输出结果是( )。
-
有以下程序:

程序的运行结果是( )。
-
有以下程序

程序运行后的输出结果是( )。
-
有如下程序:

程序运行后的输出结果是( )。
-
有如下程序:

程序运行时,输入1234<回车>,则输出结果是( )。
-
有以下程序

则以下函数调用语句错误的是( )。
-
在一个C源程序文件中所定义的全局变量,其作用域为( )。
-
以下叙述中正确的是( )。
-
以下叙述中正确的是( )。
-
在C语言中,只有在使用时才占用内存单元的变量,其存储类型是( )。
-
当没有指定C语言中函数形参的存储类别时,函数形参的存储类别是( )。
-
以下叙述错误的是( )。
-
以下选项中叙述错误的是( )。
-
设函数中有整型变量n,为保证其在未赋值的情况下初值为0,应选择的存储类别是( )。
-
有以下程序:

程序运行后的输出结果是( )。
-
有以下程序

程序运行后的输出结果是( )。
-
有以下程序:

程序运行后的输出结果是( )。
-
有以下程序:

程序运行后的输出结果是( )。
-
有以下程序:

程序运行后的输出结果是( )。
-
有以下程序:

程序运行后的输出结果是( )。
-
有以下程序:

程序运行后的结果是( )。
-
有以下程序:

程序运行以后的输出结果是( )。
-
有以下程序

执行后的输出结果是( )。
-
有以下程序:

程序运行后的输出结果是( )。
-
有以下程序

程序执行后的输出结果是( )。
-
有以下程序:

程序的运行结果是( )。
-
有如下程序:

程序运行后的输出结果是( )。
-
有如下程序:

程序运行后的输出结果是( )。
-
有如下程序:

程序运行后的输出结果是( )。
-
以下针对全局变量的叙述错误的是( )。
-
有以下程序

程序的运行结果是( )
-
有以下程序:

程序运行后的输出结果是( )。
-
有以下程序:

程序运行后的输出结果是( )。
-
有以下程序:

程序的运行结果是( )。
-
有以下程序

程序运行后的输出结果是( )。
-
以下叙述中正确的是( )。
-
以下关于编译预处理的叙述中错误的是( )。
-
以下关于宏的叙述中正确的是( )。
-
以下关于宏的叙述错误的是( )。
-
以下叙述中错误的是( )。
-
若程序中有宏定义行:
#define N 100
则以下叙述中正确的是( )。
-
以下选项中的编译预处理命令行,正确的是( )。
-
下面关于编译预处理的命令行,正确的是( )。
-
有如下程序:

程序运行后的输出结果是( )。
-
有以下程序:

程序的运行结果是( )。
-
有以下函数:

程序运行后的输出结果是( )。
-
有以下程序:

程序运行后的输出结果是( )。
-
有以下程序:

程序运行后的输出结果是( )。
-
若有以下程序

则程序的输出结果是( )。
-
若有以下程序

则程序的输出结果是( )。
-
以下程序:

程序运行后的结果是( )。
-
有以下程序

程序运行后的输出结果是( )。
-
有以下程序:

程序的运行结果是( )。
-
有以下程序

程序的运行结果是( )。
-
有以下程序;

程序运行后的输出结果是( )。
-
有以下程序:

程序运行后的输出结果是( )。
-
有以下程序:

程序运行后的输出结果是( )。
-
设有宏定义:#define IsDIV(k,n)((k%n==1)?1:0)且变量m已正确定义并赋值,则宏调用:IsDIV(m,5)&&IsDIV(m,7)为真时所要表达的是( )。
-
有以下程序:

程序运行后的输出结果是( )。
-
有以下定义和语句:

在VC6平台上编译运行,程序运行后的输出结果是( )。
-
有以下程序段

若要求使p指向一个int型的动态存储单元,在横线处应填入的是( )。
-
有以下程序:

程序运行后的输出结果是( )。
-
有以下程序:

程序运行后的输出结果是( )。
-
有以下程序

程序运行后的输出结果是( )。
-
有以下程序:

程序运行后的输出结果是( )。
-
有以下程序:

程序的运行结果是( )。
-
以下叙述中错误的是( )。
-
以下关于typedef的叙述错误的是( )。
-
以下叙述中错误的是( )。
-
若有说明typedef struct
int a;char c;
W;,则以下叙述中正确的是( )。
-
以下结构体类型说明和变量定义中正确的是( )。
-
设有以下语句
typedef struct TT
char c;int a[4]
CIN;
则下面叙述中正确的是( )。
-
若有以下程序:

以下叙述中正确的是( )。
-
设有如下语句:

则以下叙述中错误的是( )。
-
若有定义:typedef int* T;T a[20];
则以下与上述定义中a类型完全相同的是( )。
-
若有定义:

则与上述定义完全等价的说明语句是( )。
-
有以下定义:

以下叙述中错误的是( )。
-
下面结构体的定义语句中,错误的是( )。
-
设有定义:

则以下赋值语句中错误的是( )。
-
设有定义:struct
intn;floatx;
s[2],m[2]=
10,2.8
,
0,0.0
;
则以下赋值语句中正确的是( )。
-
有以下程序段

以下选项中表达式的值为11的是( )。
-
有以下定义和语句:

能给w中year成员赋1980的语句是( )。
-
设有如下定义:struct
int n;char c;
a[2],* p =a;则以下错误引用结构体成员n的是( )。
-
设有以下程序段:

要引用结构体变量std中的color成员,下列写法中错误的是( )。
-
有如下定义:

以下对内嵌结构体成员的引用形式错误的是( )。
-
有以下程序:

程序的运行结果是( )。
-
若有以下定义:

则错误的语句是( )。
-
有以下结构体说明、变量定义和赋值语句

则以下scanf函数调用语句有错误的是( )。
-
有如下定义:

以下语句错误的是( )。
-
有如下程序:

若要从键盘读入姓名给结构体变量zhangsan的name成员,输入项错误的是( )。
-
设有定义:
struct
char mark[12];int numl;double num2;
t1,t2;
若变量均已正确赋初值,则以下语句中错误的是( )。
-
以下叙述中正确的是( )。
-
以下叙述中正确的是( )。
-
有如下程序:

程序运行后的输出结果是( )。
-
有以下程序:

程序运行后的输出结果是( )。
-
有如下程序:

程序运行后的输出结果是( )。
-
有以下程序

程序的运行结果是( )。
-
有以下程序:

程序运行的结果是( )。
-
有以下程序:

程序运行后的输出结果是( )。
-
有以下程序:

程序运行后的输出结果是( )。
-
有以下程序:

程序运行后的输出结果是( )。
-
有如下程序:

程序运行后的输出结果是( )。
-
有以下程序

程序运行后的输出结果是( )。
-
有如下程序:

程序运行后的输出结果是( )。
-
有以下程序:

程序的运行结果是( )。
-
有以下程序:

程序运行的结果是( )。
-
有以下程序:

程序的运行结果是( )。
-
有以下程序

程序的运行结果是( )。
-
有以下程序

程序运行后的输出结果是( )。
-
有以下程序:

程序运行后的结果是( )。
-
有以下程序:

程序运行后的输出结果是( )。
-
若有以下程序


则程序的输出结果是( )。
-
有以下程序:

程序的运行结果是( )。
-
有以下程序:

程序运行后的输出结果是( )。
-
若有以下程序

则程序的输出结果是( )。
-
有以下程序:

程序运行后的输出结果是( )。
-
有以下程序:

程序运行后的输出结果是( )。
-
有以下程序:

程序的运行结果是( )。
-
有以下函数:

程序运行后的输出结果是( )。
-
有以下程序:

程序运行后的输出结果是( )。
-
有以下程序:

程序运行后的输出结果是( )。
-
有以下程序:

程序运行后的输出结果是( )。
-
有以下程序:

程序运行后的输出结果是( )。
-
有以下程序:

程序运行后的输出结果是( )。
-
有以下程序

程序运行后的输出结果是( )。
-
有以下程序

程序运行后的输出结果是( )。
-
有如下程序:


程序运行后的输出结果是( )。
-
有如下程序:

程序运行后的输出结果是( )。
-
有以下程序:

程序运行后的输出结果是( )。
-
为了建立如图所示的存储结构(即每个结点含两个域,data是数据域,next是指向结点的指针域),则在【】处应填入的选项是( )。

-
若有以下定义和语句:

则值为6的表达式是(提示:运算符->的优先级高于++)( )。
-
若有以下程序段

则以下选项中值为6的表达式是( )。
-
有以下程序:

程序运行时不能输出10,20的语句是( )。
-
有以下程序:

程序运行后的输出结果是( )。
-
假定已建立以下数据链表结构,且指针p和q已指向如下图所示的结点:
则以下选项中可将q所指结点从链表中删除并释放该结点的语句是( )。
-
程序中已构成如下图所示的不带头结点的单向链表结构,指针变量s、p、q均已正确定义,并用于指向链表结点,指针变量s总是作为头指针指向链表的第一个结点。
若有以下程序段
该程序段实现的功能是( )。
-
下面选项中关于位运算的叙述正确的是( )。
-
下面关于位运算符的叙述,正确的是( )。
-
以下不属于C语言位运算符的是( )。
-
以下选项中错误的是( )。
-
变量a中的数据用二进制表示的形式是01011101,变量b中的数据用二进制表示的形式是11110000。若要求将a的高4位取反,低4位不变,所要执行的运算是( )。
-
若有定义语句
int b=2:
则表达式(b<<2)/(3
b)的值是( )。
-
设有定义:int a=64,b=8;,则表达式(a&b)

(a&&b)和(a
b)&&(a
b)的值分别为( )。
-
有以下程序:

程序运行后的输出结果是( )。
-
有以下程序:

程序的运行结果是( )。
-
有以下函数:

程序运行后的输出结果是( )。
-
有以下程序:

程序运行后的输出结果是( )。
-
有以下程序:

程序运行后的输出结果是( )。
-
有以下程序:

若要使程序的运行结果为248,应在下画线处填入的是( )。
-
有以下程序:

程序运行后的结果是( )。
-
有以下程序

程序的运行结果是( )。
-
有以下程序:

程序运行后的输出结果是( )。
-
若有以下程序段:

输出结果是( )。
-
有以下程序:

程序运行后的输出结果是( )。
-
有以下程序:

程序运行的结果是( )。
-
设有以下语句

执行后,c的值为( )。
-
有以下程序

程序运行后的输出结果是( )。
-
有以下程序

程序运行后的输出结果是( )。
-
若变量已正确定义,则以下语句的输出结果是( )。
s=32;
s^=32;
printf(″%d″,s);
-
有如下程序:

程序运行后的输出结果是( )。
-
有如下程序:

程序运行后的输出结果是( )。
-
有以下程序:

程序运行后的输出结果是( )。
-
有以下程序:

程序运行后的输出结果是( )。
-
有以下程序:

程序运行后的输出结果是( )。
-
有如下程序:

程序运行后的输出结果是( )。
-
下列关于C语言文件的叙述中,正确的是 ( )。
-
以下叙述中正确的是( )。
-
下面选项中关于“文件指针”概念的叙述正确的是( )。
-
以下叙述正确的是( )。
-
以下选项中叙述正确的是( )。
-
以下叙述正确的是( )。
-
设文件指针fp已定义,执行语句fp=fopen(”file”, “w”)后,以下针对文本文件file操作的叙述中正确的是( )。
-
有以下程序:

若文本文件file a.txt中原有内容为:hello,则运行以上程序后,文件filea.txt中的内容为( )。
-
有以下程序段:

若指定文件test.txt不存在,且无其他异常,则以下叙述错误的是( )。
-
有以下程序段:

若文件test.txt已存在,则以下叙述正确的是( )。
-
以下程序:

程序运行后的输出结果是( )。
-
有以下程序:

程序的运行结果是( )。
-
以下关于fclose(fp)函数的叙述正确的是( )。
-
以下叙述中错误的是( )。
-
有如下程序:

程序运行后,在当前目录下会生成一个output.txt文件,其内容是( )。
-
设fp为指向某二进制文件的指针,且已读到此文件末尾,则函数feof(fp)的返回值为( )。
-
以下叙述正确的是( )。
-
有以下程序

程序运行后的输出结果是( )。
-
有以下程序:

程序运行后的输出结果是( )。
-
标准库函数fgets(s,n,f)的功能是( )。
-
以下不能对文件进行输出的库函数是( )。
-
读取二进制文件的函数调用形式为“fread(buffer,size,count,fp);”,其中buffer代表的是( )。
-
有如下定义:

若文件已正确打开,且数组x的10个元素均已赋值,以下将数组元素写到文件中的语句错误的是( )。
-
有以下程序

程序的运行结果是( )。
-
有以下程序:

程序的运行结果是( )。
-
函数rewind(fp)的作用是( )。
-
有以下程序:

程序运行后的结果是( )。
-
以下函数不能用于向文件写入数据的是( )。
-
有以下程序:

以上程序执行后abc.dat文件的内容是( )。
-
有以下程序:

程序的运行结果是( )。
-
有以下程序:

程序运行后的输出结果是( )。
-
下列叙述中正确的是( )。
-
下列叙述中正确的是( )。
-
下列叙述中正确的是( )。
-
算法的有穷性是指( )。
-
算法应当具有的特性不包括( )。
-
算法的时间复杂度是指( )。
-
算法时间复杂度的度量方法是( )。
-
算法的空间复杂度是指( )。
-
算法的空间复杂度是指( )。
-
算法空间复杂度的度量方法是( )。
-
下列叙述中错误的是( )。
-
下列关于算法复杂度叙述正确的是( )。
-
下列叙述中正确的是( )。
-
下面关于算法的叙述中,正确的是( )。
-
下列叙述中正确的是( )。
-
下列关于算法的描述中错误的是( )。
-
线性表常采用的两种存储结构是( )。
-
下列叙述中正确的是( )。
-
下列叙述中正确的是( )。
-
下列数据结构中,属于非线性结构的是( )。
-
下列数据结构中,属于非线性结构的是( )。
-
以下数据结构中,属于非线性数据结构的是( )。
-
数据结构中,与所使用的计算机无关的是数据的( )。
-
数据结构主要研究的是数据的逻辑结构、数据的运算和( )。
-
下列描述中,正确的是( )。
-
下列关于线性表的叙述中,不正确的是( )。
-
以下描述中,不是线性表顺序存储结构特征的是( )。
-
下列叙述中正确的是( )。
-
下列叙述中正确的是( )。
-
下列叙述中正确的是( )。
-
下列叙述中正确的是( )。
-
设数据元素的集合D=
1,2,3,4,5},则满足下列关系R的数据结构中为线性结构的是( )。
-
设数据集合为D=
1,3,5,7,9
,D上的关系为R,下列数据结构B=(D,R)中为非线性结构的是( )。
-
在线性表的顺序存储结构中,其存储空间连续,各个元素所占的字节数( )。
-
下列与栈结构有关联的是( )。
-
下列关于栈的叙述中,正确的是( )。
-
下列叙述中正确的是( )。
-
下列叙述中正确的是( )。
-
下列关于栈的叙述中正确的是( )。
-
下列关于栈叙述正确的是( )。
-
下列叙述中正确的是( )。
-
下列叙述中正确的是( )。
-
下列数据结构中,能够按照“先进后出”原则存取数据的是( )。
-
对于循环队列,下列叙述中正确的是( )。
-
下列叙述中正确的是( )。
-
支持子程序调用的数据结构是( )。
-
一个栈的初始状态为空。现将元素1、2、3、4、5、A、B、C、D、E依次入栈,然后再依次出栈,则元素出的顺序是( )。
-
下列叙述中正确的是( )。
-
下列关于栈的叙述正确的是( )。
-
对于循环队列,下列叙述中正确的是( )。
-
栈和队列的共同点是( )。
-
下列关于队列的叙述中正确的是( )。
-
下列关于栈和队列的描述中,正确的是( )。
-
如果进栈序列为A,B,C,D,则可能的出栈序列是( )。
-
下列关于栈的描述中,正确的是( )。
-
下列队列的描述中,正确的是( )。
-
设栈的顺序存储空间为S(0:49),栈底指针bottom=49,栈顶指针top=30(指向栈顶元素)。则栈中的元素个数为( )。
-
设栈的顺序存储空间为S(1:m),初始状态为top=m+1。现经过一系列入栈与退栈运算后,top=20,则当前栈中的元素个数为( )。
-
设循环队列的存储空间为Q(1:35),初始状态为front=rear=35。现经过一系列入队与退队运算后,front=15,rear=15,则循环队列的元素个数为( )。
-
设循环队列为Q(1:m),初始状态为front=rear=m。现经过一系列的入队与退队运算后,front=rear=1,则该循环队列中的元素个数为( )。
-
设循环队列为Q(1:m),其初始状态为front=rear=m。经过一系列入队与退队运算后,front=15,rear=20。现要在该循环队列中寻找最大值的元素,最坏情况下需要比较的次数为( )。
-
设循环队列为Q(1:m),其初始状态为front=rear=m。经过一系列入队与退队运算后,front=20,rear=15,要在该循环队列中寻找最小值的元素,最坏情况下需要比较的次数为( )。
-
设循环队列为Q(1:m),其初始状态为front=rear=m。经过一系列入队与退队运算后,front=30,rear=10。现要在该循环队列中作顺序查找,最坏情况下需要比较的次数为( )。
-
下列叙述中正确的是( )。
-
一个栈的初始状态为空。现将元素A,B,C,D,E依次入栈,然后依次退栈三次,并将退栈的三个元素依次入队(原队列为空),最后将队列中的元素全部退出。则元素退队的顺序为( )。
-
设有栈S和队列Q,初始状态均为空。首先依次将A,B,C,D,E,F入栈,然后从栈中退出三个元素依次入队,再将X,Y,Z入栈后,将栈中所有元素退出并依次入队,最后将队列中所有元素退出,则退队元素的顺序为( )。
-
在下列链表中,能够从任意一个结点出发遍历访问到所有结点的是( )。
-
下列链表中,其逻辑结构属于非线性结构的是( )。
-
下列线性链表的叙述中,正确的是( )。
-
下列叙述中正确的是( )。
-
下列叙述中正确的是( )。
-
下列叙述中正确的是( )。
-
下列关于线性链表的叙述中,正确的是( )。
-
下列数据结构中,属于非线性结构的是( )。
-
下列叙述中正确的是( )。
-
下列关于线性链表的描述中,正确的是( )。
Ⅰ、只含有一个指针域来存放下一个元素地址
II、指针域中的指针用于指向该结点的前一个或后一个结点(即前件或后件)
III、结点由两部分组成:数据域和指针域。
-
线性表的链式存储结构与顺序存储结构相比,链式存储结构的优点有( )。
-
下列叙述中错误的是( )。
-
下列叙述中正确的是( )。
-
下列叙述中正确的是( )。
-
下列叙述中正确的是( )。
-
下列叙述中正确的是( )。
-
下列叙述中错误的是( )。
-
下列叙述中正确的是( )。
-
下列叙述中正确的是( )。
-
下列叙述中正确的是( )。
-
某系统总体结构图如下图所示:

该系统总体结构图的深度是( )。
-
下列关于二叉树的叙述中,正确的是( )。
-
一棵二叉树共有25个结点,其中5个叶子结点,那么度为1的结点数为( )。
-
某二叉树共有7个结点,其中叶子结点只有1个,则该二叉树的深度为( )。(假设根结点在第1层)
-
某二叉树有5个度为2的结点,则该二叉树中的叶子结点数是( )。
-
具有3个结点的二叉树有( )。
-
在一棵二叉树上,第5层的结点数最多是( )。
-
下列二叉树描述中,正确的是( )。
-
某二叉树中度为2的结点有10个,则该二叉树中有( )个叶子结点。
-
设一棵满二叉树共有15个结点,则在该满二叉树中的叶子结点数为( )。
-
在一棵二叉树中,叶子结点共有30个,度为1的结点共有40个,则该二叉树中的总结点数共有( )个。
-
一棵二叉树中共有70个叶子结点与80个度为1的结点,则该二叉树中的总结点数为( )。
-
某二叉树中有n个度为2的结点,则该二叉树中的叶子结点数为( )。
-
某二叉树中有n个叶子结点,则该二叉树中度为2的结点数为( )。
-
在深度为7的满二叉树中,度为2的结点个数为( )。
-
深度为7的完全二叉树中共有125个结点,则该完全二叉树中的叶子结点数为( )。
-
深度为7的二叉树共有127个节点,则下列说法中错误的是( )。
-
某二叉树中有15个度为1的结点,16个度为2的结点,则该二叉树中总的结点数为( )。
-
深度为5的完全二叉树的结点数不可能是( )。
-
某二叉树中共有935个结点,其中叶子结点有435个,则该二叉己树中度为2的结点个数为( )。
-
某二叉树共有845个结点,其中叶子结点有45个,则度为1的结点数为( )。
-
设有下列二叉树:

对此二叉树前序遍历的结果为( )。
-
设二叉树如下:

则前序遍历为( )。
-
设二叉树如下:

则中序遍历为( )。
-
设二叉树如下:

则后序序列为( )。
-
设某二叉树的前序遍历为ABC,中序遍历为CBA,则该二叉树的后序遍历为( )。
-
设某二叉树的后序遍历为CBA,中序遍历为ABC,则该二叉树的前序遍历为( )。
-
某二叉树的前序序列为ABCD,中序序列为DCBA,则后序序列为( )。
-
二叉树的中序序列为BDCA,后序序列为DCBA,则前序序列为( )。
-
己知二叉树后序遍历序列是CDABE,中序遍历序列是CADEB,它的前序遍历序列是( )。
-
一棵二叉树的前序遍历结果是ABCEDF,中序遍历结果是CBAEDF,则其后序遍历的结果是( )。
-
某二叉树的前序序列为ABCDEFG,中序序列为DCBAEFG,则该二叉树的后序序列为( )。
-
某二叉树的前序遍历为ABCDEFG,中序遍历为DCBAEFG,则该二叉树的深度(根结点在第1层)为( )。
-
某二叉树的中序遍历为DCBAEFG,后序遍历为DCBGFEA,则该二叉树的深度(根结点在第1层)为( )。
-
对下二叉树进行中序遍历的结果是( )。

-
对下列二叉树进行前序遍历的结果为( )。

-
下列叙述中正确的是( )。
-
在长度为n的有序线性表中进行二分查找,最坏情况下需要比较的次数是( )。
-
为了对有序表进行二分查找,则要求有序表( )。
-
下列数据结构中,能用二分法进行查找的是( )。
-
对有序线性表(23,29,34,55,60,70,78)用二分法查找值为60的元素时,需要比较次数为( )。
-
下列叙述中正确的是( )。
-
设序列长度为n,在最坏情况下,时间复杂度为O(1og2n)的算法是( )。
-
下列排序方法中,最坏情况下比较次数最少的是( )。
-
下列排序方法中,最坏情况下时间复杂度最小的是( )。
-
对长度为n的线性表排序,在最坏情况下,比较次数不是n(n-1)/2的排序方法是( )。
-
待排序的关键码序列为(15,20,9,30,67,65,45,90),要按关键码值递增的顺序排序,采取简单选择排序法,第一趟排序后关键码15被放到第( )个位置。( )。
-
设有关键码序列(Q,G,M,Z,A,N,B,P,X,H,Y,S,T,L,K,E),采用堆排序法进行排序,经过初始建堆后关键码值B在序列中的序号是( )。
-
设有关键码序列(66,13,51,76,81,26,57,69,23),要按关键码值递增的次序排序,若采用快速排序法,并以第一个元素为划分的基准,那么第一趟划分后的结果为( )。
-
对于长度为n的线性表,在最坏情况下,下列各排序法所对应的比较次数中正确的是( )。
-
冒泡排序在最坏情况下的比较次数是( )。
-
堆排序最坏情况下的时间复杂度为( )。
-
在最坏情况下( )。
-
下列各序列中不是堆的是( )。
-
信息隐蔽的概念与下述哪一种概念直接相关( )。
-
下列各选项中,不属于序言性注释的是( )。
-
对建立良好的程序设计风格,下面描述正确的是( )。
-
下列叙述中,不符合良好程序设计风格要求的是( )。
-
结构化程序所要求的基本结构不包括( )。
-
下列选项中不属于结构化程序设计原则的是( )。
-
结构化程序设计的基本原则不包括( )。
-
结构化程序设计主要强调的是( )。
-
结构化程序设计的3种结构是( )。
-
结构化程序的三种基本控制结构是( )。
-
结构化程序由顺序、选择、循环三种基本结构组成,以下相关叙述错误的是( )。
-
下列选项中属于面向对象设计方法主要特征的是( )。
-
面向对象方法中,继承是指( )。
-
在面向对象方法中,不属于“对象”的基本特点是( )。
-
定义无符号整数类为UInt,下面可以作为类UInt实例化值的是( )。
-
下面属于整数类的实例是( )。
-
下面属于字符类的实例是( )。
-
下面概念中,不属于面向对象方法的是( )。
-
下列特征中不是面向对象方法的主要特征的是( )。
-
下面不属于对象基本特点的是( )。
-
以下不属于对象的基本特征的是( )。
-
下列选项中不属于面向对象程序设计特征的是( )。
-
下列关于类、对象、属性和方法的叙述中,错误的是( )。
-
在面向对象方法中,实现信息隐蔽是依靠( )。
-
下面对类和对象主要特征描述正确的是( )。
-
面向对象方法中,实现对象的数据和操作结合于统一体中的是( )。
-
下面对软件特点描述不正确的是( )。
-
下面描述不属于软件特点的是( )。
-
下面对软件特点描述错误的是( )。
-
软件按功能可以分为:应用软件、系统软件和支撑软件(或工具软件)。下面属于系统软件的是( )。
-
软件按功能可以分为应用软件、系统软件和支撑软件(或工具软件),下面属于应用软件的是( )。
-
软件按功能可以分为:应用软件、系统软件、支撑软件(或工具软件)。下列属于应用软件的是( )。
-
下面属于系统软件的是( )。
-
下面属于应用软件的是( )。
-
软件是指( )。
-
计算机软件包括( )。
-
计算机软件的构成是( )。
-
下列不属于软件工程3个要素的是( )。
-
软件工程的三要素是( )。
-
开发软件所需高成本和产品的低质量之间有着尖锐的矛盾,这种现象称做( )。
-
开发大型软件时,产生困难的根本原因是( )。
-
下面描述中,不属于软件危机表现的是( )。
-
软件生命周期中的活动不包括 ( )。
-
软件生命周期是指( )。
-
软件生命周期是指( )。
-
软件生命周期可分为定义阶段、开发阶段和维护阶段。详细设计属于( )。
-
下列选项中不属于软件生命周期开发阶段任务的是( )。
-
下面不属于软件开发阶段任务的是( )。
-
需求分析阶段的任务是( )。
-
下列叙述中,不属于设计准则的是( )。
-
在软件生产过程中,需求信息的来源是( )。
-
软件需求分析阶段的工作,可以分为四个方面:需求获取、编写需求规格说明书、需求评审和( )。
-
软件生命周期中,确定软件系统要做什么的阶段是( )。
-
在软件生命周期中,能准确地确定软件系统必须做什么和必须具备哪些功能的阶段是( )。
-
软件需求分析阶段的主要任务是( )。
-
下面不属于需求分析阶段任务的是( )。
-
下面描述中不属于软件需求分析阶段任务的是( )。
-
下面不属于软件需求分析阶段工作的是( )。
-
在软件开发中,需求分析阶段产生的主要文档是( )。
-
在软件开发中,需求分析阶段产生的主要文档是( )。
-
软件需求规格说明书的作用不包括( )。
-
下列叙述中,不属于软件需求规格说明书的作用的是( )。
-
在软件开发中,需求分析阶段产生的主要文档是( )。
-
下面描述中错误的是( )。
-
数据流程图(DFD图)是( )。
-
数据流图中带有箭头的线段表示的是( )。
-
软件开发中,需求分析阶段可以使用的工具是( )。
-
下面能作为软件需求分析工具的是( )。
-
下面不能作为软件需求分析工具的是( )。
-
在结构化方法中,用数据流程图(DFD)作为描述工具的软件开发阶段是( )。
-
在结构化方法中,软件功能分别属于下列软件开发中的( )阶段。
-
数据流图用于抽象描述一个软件的逻辑模型,数据流图由一些特定的图符构成。下列图符名标识的图符不属于数据流图合法图符的是( )。
-
下列工具中,不属于结构化分析的常用工具的是( )。
-
软件设计中划分模块的一个准则是( )。
-
耦合性和内聚性是对模块独立性度量的两个标准。下列叙述中正确的是( )。
-
下列选项中,不属于模块间耦合的是( )。
-
为了使模块尽可能独立,要求( )。
-
在结构化程序设计中,模块划分的原则是( )。
-
软件设计中模块划分应遵循的准则是( )。
-
两个或两个以上的模块之间关联的紧密程度称为( )。
-
下面不属于软件设计阶段任务的是( )。
-
下列不属于软件设计阶段任务的是( )。
-
下面不属于软件设计阶段任务的是( )。
-
在软件设计中不使用的工具是( )。
-
在软件设计中,不属于过程设计工具的是( )。
-
详细设计主要确定每个模块具体执行过程,也称过程设计,下列不属于过程设计工具的是( )。
-
下面不能作为软件设计工具的是( )。
-
下面可以作为软件设计工具的是( )。
-
软件详细设计产生的图如下:

该图是( )。
-
程序流程图中带有箭头的线段表示的是( )。
-
某系统结构图如下图所示

该系统结构图中最大扇入是( )。
-
某系统结构图如下图所示

该系统结构图的宽度是( )。
-
某系统结构图如下图所示

该系统结构图的深度是( )。
-
软件测试的目的是( )。
-
下列叙述中错误的是( )。
-
下面对软件测试和软件调试有关概念叙述错误的是( )。
-
下列关于软件测试的目的和准则的叙述中,正确的是( )。
-
下列描述中正确的是( )。
-
下面对软件测试描述错误的是( )。
-
下面属于黑盒测试方法的是( )。
-
下列属于黑盒测试方法的是( )。
-
下面属于黑盒测试方法的是( )。
-
下面不属于黑盒测试方法的是( )。
-
在黑盒测试方式中,设计测试用例的主要根据是( )。
-
下列方法中,属于白盒法设计测试用例的方法的是( )。
-
下面属于白盒测试方法的是( )。
-
使用白盒测试方法时,设计测试用例应根据( )。
-
检查软件产品是否符合需求定义的过程称为( )。
-
通常软件测试实施的步骤是( )。
-
程序调试的任务是( )。
-
软件(程序)调试的任务是( )。
-
软件调试的目的是( )。
-
下列方法中,不属于软件调试方法的是( )。
-
数据库管理系统是( )。
-
数据库管理系统是( )。
-
下列选项中,不属于数据管理员(DBA)职责的是( )。
-
数据库系统的核心是( )。
-
下列叙述中正确的是( )。
-
负责数据库中查询操作的数据库语言是( )。
-
数据库管理系统中负责数据模式定义的语言是( )。
-
在数据库管理系统提供的数据语言中,负责数据的查询、增加、删除和修改等操作的是( )。
-
数据库中对概念模式内容进行说明的语言是( )。
-
数据库技术的根本目标是( )。
-
在学生管理的关系数据库中,存取一个学生信息的数据单位是( )。
-
在数据管理技术发展的三个阶段中,数据共享最好的是( )。
-
在数据管理的三个发展阶段中,数据的共享性好且冗余度最小的是( )。
-
在数据库管理技术的发展中,数据独立性最高的是( )。
-
数据管理技术发展的三个阶段中,( )没有专门的软件对数据进行管理。
Ⅰ.人工管理阶段
Ⅱ.文件系统阶段
Ⅲ.数据库阶段
-
层次型、网状型和关系型数据库划分原则是( )。
-
数据库的基本特点是( )。
-
下列关于数据库的叙述中,正确的是( )。
-
下列关于数据库特点的叙述中,错误的是( )。
-
数据独立性是数据库技术的重要特点之一。所谓数据独立性是指( )。
-
当数据库中数据总体逻辑结构发生变化,而应用程序不受影响,称为数据的( )。
-
数据库系统的三级模式不包括( )。
-
数据库设计中反映用户对数据要求的模式是( )。
-
在下列模式中,能够给出数据库物理存储结构与物理存取方法的是( )。
-
数据库系统在其内部具有3级模式,用来描述数据库中全体数据的全局逻辑结构和特性的是( )。
-
在三级模式之间引入两层映象,其主要功能之一是( )。
-
在数据库系统中,数据库用户能够看见和使用的局部数据的逻辑结构和特征的描述是( )。
-
在数据库系统的内部结构体系中,索引属于( )。
-
在数据库系统的组织结构中,下列( )映射把用户数据库与概念数据库联系了起来。
-
下面关于数据库三级模式结构的叙述中,正确的是( )。
-
在数据库系统中,考虑数据库实现的数据模型是( )。
-
在数据库系统中,用于对客观世界中复杂事物的结构及它们之间的联系进行描述的是( )。
-
在数据库系统中,给出数据模型在计算机上物理结构表示的是( )。
-
在数据库系统中,数据模型包括概念模型、逻辑模型和( )。
-
在数据库中,数据模型包括数据结构、数据操作和( )。
-
逻辑模型是面向数据库系统的模型,下面属于逻辑模型的是( )。
-
在E-R图中,表示实体的图元是( )。
-
在E-R图中,用来表示实体联系的图形是( )。
-
在E-R图中,用( )来表示实体之间联系。
-
将E-R图转换为关系模式时,实体和联系都可以表示为( )。
-
在进行逻辑设计时,将E–R图中实体之间联系转换为关系数据库的( )。
-
将E-R图转换为关系模式时,E-R图中的属性可以表示为( )。
-
在关系数据库中,用来表示实体间联系的是( )。
-
在满足实体完整性约束的条件下( )。
-
对图书进行编目时,图书有如下属性:ISBN书号,书名,作者,出版社,出版日期。能作为关键字的是( )。
-
设有表示学生选课的三张表,学生S(学号,姓名,性别,年龄,身份证号),课程C(课号,课名),选课SC(学号,课号,成绩),则表SC的关键字(键或码)为( )。
-
设有表示公司和员工及雇佣的三张表,员工可在多家公司兼职,其中公司表C(公司号,公司名,地址,注册资本,法人代表,员工数),员工表S(员工号,姓名,性别,年龄,学历),雇佣表E(公司号,员工号,工资,工作起始时间)。其中表C的键为公司号,表S的键为员工号,则表E的键(码)为( )。
-
设有一个商店的数据库,记录客户及其购物情况,由三个关系组成:商品(商品号,商品名,单价,商品类别,供应商),客户(客户号,姓名,地址,电邮,性别,身份证号),购买(客户号,商品号,购买数量),则关系购买的键为( )。
-
公司中有多个部门和多名职员,每个职员只能属于一个部门,一个部门可以有多名职员。则实体部门和职员间的联系是( )。
-
一个教师可讲授多门课程,一门课程可由多个教师讲授,则实体教师和课程间的联系是( )。
-
一间宿舍可住多个学生,则实体宿舍和学生之间的联系是( )。
-
一个工作人员可以使用多台计算机,而一台计算机可被多个人使用,则实体工作人员与实体计算机之间的联系是( )。
-
在学校中,“班级”与“学生”两个实体集之间的联系属于( )关系。
-
运动会中一个运动项目可以有多名运动员参加,一个运动员可以参加多个运动项目,则实体项目和运动员之间的联系是( )。
-
若一个教练训练多个运动员,每个运动员接受多个教练指导,则教练与运动员之间存在的联系类型为( )。
-
一名雇员就职于一家公司,一个公司有多个雇员。则实体公司和实体雇员之间的联系是( )。
-
一个兴趣班可以招收多名学生,而一个学生可以参加多个兴趣班。则实体兴趣班和实体学生之间的联系是( )。
-
一个运动队有多个队员,一个队员仅属于一个运动队,一个队一般都有一个教练,则实体运动队和队员的联系是( )。
-
某个工厂有若干个仓库,每个仓库存放有不同的零件,相同零件可能放在不同的仓库中。则实体仓库和零件间的联系是( )。
-
在医院,每个医生只属于某一个诊疗科,医生同一天可为多位患者看病,而一名患者可在多个科室治疗,则实医生和患者之间的联系是( )。
-
若实体A和B是一对一的联系,实体B和C是多对一的联系,则实体A和C的联系是( )。
-
关系数据模型( )。
-
对于现实世界中事物的特征,在实体—联系模型中使用( )。
-
按数据的组织形式,数据库的数据模型可分为三种模型,它们是( )。
-
下列数据模型中,具有坚实理论基础的是( )。
-
用树形结构来表示实体之间联系的模型称为( )。
-
关系表中的每一横行称为一个( )。
-
关系表中的每一行记录称为一个( )。
-
在数据处理中,其处理的最小单位是( )。
-
下列关系模型中,术语解析不正确的是( )。
-
下列叙述中正确的是( )。
-
关系数据库管理系统所管理的关系是( )。
-
在关系中能唯一标识元组的最小属性集称为该表的键或码。二维表中可能有若干个键,它们称为该表的( )。
-
设有关系表学生表S(学号,姓名,性别,年龄,身份证号),每个学生学号唯一。除属性学号外,也可以作为键的是( )。
-
关系模型允许定义3类数据约束,下列不属于数据约束的是( )。
-
有关系R如下,其中属性B为主键:

则其中最后一个记录违反了( )。
-
有三个关系表R、S和T如下,其中三个关系对应的关键字分别为A,B和复合关键字(A,B)。

表T的记录项(b,q,4)违反了( )。
-
在关系运算中,选择运算的含义是( )。
-
对关系S和关系R进行集合运算,结果中既包含关系S中的所有元组也包含关系R中的所有元组,这样的集合运算称为( )。
-
在下列关系运算中,不改变关系表中的属性个数但能减少元组个数的是( )。
-
对关系S和R进行集合运算,结果中既包含S中的所有元组也包含R中的所有元组,这样的集合运算称为( )。
-
设R是一个2元关系,有3个元组,S是一个3元关系,有3个元组。若T=R×S,则T的元组的个数为( )。
-
在关系代数运算中,有5种基本运算,它们是( )。
-
关系数据库管理系统能实现的专门关系运算包括( )。
-
在学生表中要查找所有年龄大于30岁姓王的男同学,应该采用的关系运算是( )。
-
在教师表中,如果要找出职称为“教授”的教师,所采用的关系运算是( )。
-
关系R经过运算
的结果为( )。
R
-
有两个关系R和T如下:
R

则由关系R得到关系T的操作是( )。
-
有两个关系R和S如下:
R
S
则由关系R得到关系S的操作是( )。
-
有三个关系R、S和T如下:
R
S
T
则由关系R和S得到关系T的操作是( )。
-
有三个关系R、S和T如下:
R
S
T
则下列操作中正确的是( )。
-
有三个关系R、S和T如下:
R
S
T
则由关系R和S得到关系T的操作是( )。
-
有三个关系R、S和T如下:
R
S
T
则由关系R和S得到T的操作是( )。
-
有两个关系R和T如下:

则由关系R得到关系T的操作是( )。
-
有三个关系R、S和T如下:

其中关系T由关系R和S通过某种操作得到,该操作为( )。
-
有三个关系R、S和T如下:

则由关系R和S得到关系T的操作是( )。
-
有两个关系R、S如下:

由关系R通过运算得到关系S,所使用的运算为( )。
-
有三个关系R、S和T如下:

由关系R和S通过一种运算得到关系T,则所使用的运算为( )。
-
有三个关系R、S和T如下。



由关系R和S通过运算得到关系T,则所使用的运算为( )。
-
有两个关系R,S如下,由关系R和S得到关系T,则所使用的操作为( )。

-
有三个关系R、S和T如下。



则由关系R和S得到关系T的操作是( )。
-
有三个关系R、S和T如下:



则由关系R和S得到关系T的操作是( )。
-
设有如下三个关系表:

下列操作中正确的是( )。
-
设有如下关系表,由关系R和S通过运算得到关系T,则所使用的运算为( )。

-
设有如下关系表:

则下列操作正确的是( )。
-
有两个关系R与s如下,由关系R和s得到关系T,则所使用的操作为( )。

-
有两个关系R和T如下:

则由关系R得到关系T的操作是( )。
-
有两个关系R与S如下,由关系R和S得到关系T,则所使用的操作为( )。

-
有三个关系R、S和T如下:

则由关系R和S得到关系T的操作是( )。
-
数据库设计的四个阶段是:需求分析、概念设计、逻辑设计和( )。
-
下列不属于数据库设计任务的是( )。
-
数据字典(DD)所定义的对象包含于( )。
-
下列关于数据库设计的叙述中,正确的是( )。
-
在数据库设计中,描述数据间内在语义联系得到E-R图的过程属于( )。
-
数据库设计中,用E-R图来描述信息结构但不涉及信息在计算机中的表示,它属于数据库设计的( )。
-
数据库应用系统中的核心问题是( )。
-
在数据库设计中,将E-R图转换成关系数据模型的过程属于( )。
-
优化数据库系统查询性能的索引设计属于数据库设计的( )。
-
下列叙述中错误的是( )。
-
下列有关数据库的描述,正确的是( )。
-
下列选项中,不属于数据库管理的是( )。
-
数据库的故障恢复一般是由( )来执行恢复。
-
下列叙述中正确的是( )。
-
程序流程图中带有箭头的线段表示的是( )。
-
深度为5的完全二叉树的结点数不可能是( )。
-
下列选项中不属于结构化程序设计原则的是( )。
-
下列关于栈的叙述正确的是( )。
-
下面描述不属于软件特点的是( )。
-
计算机软件的构成是( )。
-
按照C语言规定的用户标识符命名规则,不能出现在标识符中的是( )。
-
设有表示学生选课的三张表,学生S(学号,姓名,性别,年龄,身份证号),课程C(课号,课名),选课SC(学号,课号,成绩),则表SC的关键字(键或码)为( )。
-
有两个关系R和T如下:

则由关系R得到关系T的操作是( )。
-
以下叙述中正确的是( )。
-
以下叙述中错误的是( )。
-
设有两行定义语句:
int scanf;
float case;
则以下叙述正确的是( )。
-
以下能正确表述算式 sin(2πr+30°)的C语言表达式是( )。
-
若有定义 int a, b, c; 以下选项中的赋值语句正确的是( )。
-
有以下程序
#include <stdio.h>
main()
{
printf("%d ", NULL);
}
程序运行后的输出结果是( )。
-
设有定义:double x=2.12;,以下不能完整输出变量x值的语句是( )。
-
若有定义:char c; int d; 程序运行时输入:c=1,d=2<回车>,能把字符1输入给变量c、整数2输入给变量d的输入语句是( )。
-
若有定义int x,y;并已正确给变量赋值,则以下选项中与表达式(x-y)?(x++):(y++)中的条件表达式(x-y)等价的是( )。
-
有以下程序
#include <stdio.h>
main()
{
char a = 'H';
a = (a>='A' && a<='Z') ? (a+32):a;
printf("%c ",a);
}
程序运行后的输出结果是( )。
-
关于“while(条件表达式)循环体”,以下叙述正确的是( )。
-
以下程序段中的变量已正确定义
for( i=0; i<4; i++,i++)
for( k=1; k<3; k++); printf("*");
该程序段的输出结果是( )。
-
在一个C源程序文件中所定义的全局变量,其作用域为( )。
-
以下叙述中错误的是( )。
-
以下叙述中正确的是( )。
- 以下叙述中正确的是( )。
-
以下语句中存在语法错误的是( )。
-
有以下程序
#include <stdio.h>
int f(int x, int y)
{ return((y-x)*x); }
void main()
{ int a=3, b=4,c=5,d;
d=f(f(a,b),f(a,c));
printf("%d ",d);
}
程序运行后的输出结果是( )。
-
以下叙述中正确的是( )。
-
以下叙述中正确的是( )。
-
有以下程序
#include <stdio.h>
int m1(int x,int y)
{ return x<=y ? x :y; }
int m2(int x,int y)
{ return x<=y ? y :x; }
int fun(int a,int b)
{ return a+b; }
main()
{ int x=2,y=3,z=1;
printf("%d ", fun(m1(x,y),m2(y,z)));
}
程序的运行结果是( )。
-
下列叙述中正确的是( )。
-
下列各序列中不是堆的是( )。
-
设循环队列为Q(1: m),其初始状态为front=rear=m。经过一系列入队与退队运算后,front=15,rear=20。现要在该循环队列中寻找最大值的元素,最坏情况下需要比较的次数为( )。
-
定义无符号整数类为UInt,下面可以作为类UInt实例化值的是( )。
-
一个栈的初始状态为空。现将元素1、2、3、4、5、A、B、C、D、E依次入栈,然后再依次出栈,则元素出栈f顺序是( )。
-
该系统结构图的最大出扇数是( )。

-
软件设计中模块划分应遵循的准则是( )。
-
在数据库中,数据模型包括数据结构、数据操作和( )。
-
在数据库设计中,描述数据间内在语义联系得到E-R图的过程属于( )。
-
一个运动队有多个队员,一个队员仅属于一个运动队,一个队一般都有一个教练,则实体运动队和队员的联系是( )。
-
以下叙述中错误的是( )。
-
C源程序中不能表示的数制是( )。
-
关于C语言标识符,以下叙述错误的是( )。
-
若有定义语句:int x=10;,则表达式x-=x+x的值为( )。
-
以下叙述中正确的是( )。
-
下列叙述中正确的是( )。
-
某二叉树有5个度为2的结点,则该二叉树中的叶子结点数是( )。
-
设循环队列为Q(1: m),初始状态为front=rear=m。现经过一系列的入队与退队运算后,front=rear=1,则该循环队列中的元素个数为( )。
-
下面对类-对象主要特征描述正确的是( )。
-
下列选项中不属于结构化程序设计原则的是( )。
-
软件按功能可以分为:应用软件、系统软件和支撑软件(工具软件)。下面属于应用软件的是( )。
-
程序测试的目的是( )。
-
将E-R图转换为关系模式时,实体和联系都可以表示为( )。
-
在数据库中,数据模型包括数据结构、数据操作和( )。
-
有两个关系R,S如下:

由关系R通过运算得到关系S,则所使用的运算为( )。
-
以下叙述中错误的是( )。
-
以下叙述中正确的是( )。
-
有以下程序
#include
main()
{
printf("%d ", NULL );
}
程序运行后的输出结果是( )。
-
下列数据结构中,属于非线性结构的是( )。
-
算法的空间复杂度是指( )。
-
下列数据结构中,能够按照“先进后出”原则存取数据的是( )。
-
软件设计中划分模块的一个准则是( )。
-
结构化程序的三种基本控制结构是( )。
-
下面描述不属于软件特点的是( )。
-
程序测试的目的是( )。
-
数据库管理系统是( )。
-
设数据元素的集合D={1,2,3,4,5},则满足下列关系R的数据结构中为线性结构的是( )。
-
在E—R图中,用来表示实体联系的图形是( )。
-
以下关于结构化程序设计的叙述中正确的是( )。
-
以下叙述正确的是( )。
-
关于C语言标识符,以下叙述错误的是( )。
-
若有C语言表达式 2+3*4+7/3,以下选项中叙述正确的执行顺序是( )。
-
以下定义语句中正确的是( )。
-
若想给已定义为int型的变量a,b,c,d赋值为1,以下选项中错误的语句是( )。
-
若有定义:char c; int d; 程序运行时输入:c=1,d=2<回车>,能把字符1输入给变量c、整数2输入给变量d的输入语句是( )。
-
若有定义:int a; float b; double c; ,程序运行时输入:1,2,3<回车>,能把1输入给变量a、2输入给变量b、3输入给变量c的输入语句是( )。
-
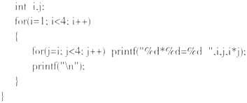
有以下程序:
#include <stdio.h>
main()
{*****B7%
int i,j;
for(i=1; i<4; i++)
{*****B7%
for(j=i; j<4; j++)
printf("%d*%d=%d ",i,j,i*j);
printf(" ");
}*****D7%
}*****D7%
程序运行后的输出结果是( )。
-
有以下程序
#include <stdio.h>
main()
{
char a=′H′;
a=(a>=′A′&&a<=′Z′)?(a+32):a;
printf("%c ", a );
}
程序运行后的输出结果是( )。
-
有以下程序
#include <stdio.h>
main( )
{
int a=-1, b=-1;
for(; ++a;)++b;
printf("%d,%d ", a, b);
}
程序运行后的输出结果是( )。
-
以下程序段中的变量已正确定义
for( i=0; i<4; i++,i++ )
for( k=1; k<3; k++ ); printf("*" );
该程序段的输出结果是( )。
-
以下叙述中正确的是( )。
-
C语言主要是借助以下哪种手段来实现程序模块化?( )
-
字符数组a和b中存储了两个字符串,判断字符串a和b是否相等,应当使用的是( )。
-
有如下程序
#include <stdio.h>
#include <string.h>
main()
{
char a[] = "1234", *b = "ABC";
printf("%d,%d,%d,%d ", strlen(a), sizeof(a), strlen(b), sizeof(b));
}
程序运行后的输出结果是( )。
-
在源程序的开始处加上
#include <stdio.h>
进行文件引用的原因,以下叙述正确的是( )。
-
以下叙述中正确的是( )。
-
设有某函数的说明为
int* func(int a[10], int n);
则下列叙述中,正确的是( )。
-
有以下程序
#include <stdio.h>
int fun (int x,int y)
{
if(x!=y) return ((x+y)/2);
else return (x);
}
main()
{
int a=4,b=5,c=6;
printf("%d ",fun(2*a,fun(b,c)));
}
程序运行后的输出结果是( )。
-
要求定义一个具有6个元素的int型一维数组,以下选项中错误的是( )。
-
设有定义:
int x=0, *p;
紧接着的赋值语句正确的是( )。
-
以下叙述中错误的是( )。
-
如果定义
float a[10], x;
则以下叙述中正确的是( )。
-
关于地址和指针,以下说法正确的是( )。
-
以下叙述中正确的是( )。
-
有以下程序
#include <stdio.h>
#define PT 3.5 ;
#define S(x) PT*x*x ;
main()
{
int a=1, b=2;
printf("%4.1f " , S(a+b));
}
程序运行后的输出结果是( )。
-
以下叙述中错误的是( )。
-
下面结构体的定义语句中,错误的是( )。
-
设有如下语句
typedef struct Date {
int year;
int month;
int day;
} DATE;
则以下叙述中错误的是( )。
-
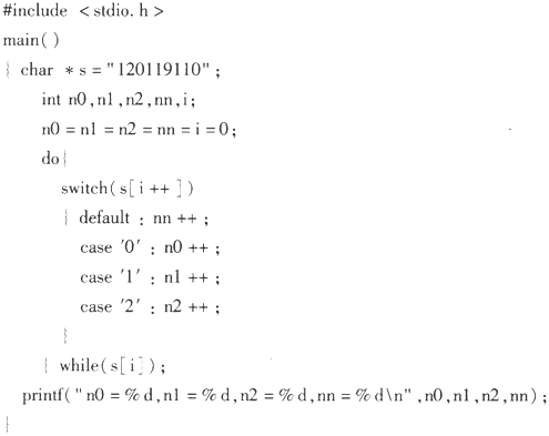
给定程序中,函数fun的功能是:将形参n中,各位上为偶数的数取出,并按原来从高位到低位相反的顺序组成一个新的数,并作为函数值返回。
例如,输入一个整数:27638496,函数返回值为:64862。
请在程序的下划线处填入正确的内容并把下划线删除.便程序得出正确的结果。
注意:源程序存放在考生文件夹下的BLANK1.C中。
不得增行或删行,也不得更改程序的结构!
/**********code.c**********/
#include <stdio.h>
unsigned long fun(unsigned long n)
{
unsigned long x=0; int t;
while(n)
{
t=n_x0010_;
/**********found**********/
if(t%2==__1__)
/**********found**********/
x=__2__+t;
/**********found**********/
n=__3__;
}
return x;
}
main()
{
unsigned long n=-1;
while(n>99999999||n<0)
{ printf("Please input(0<n<100000000): "); scanf("%ld",&n); }
printf(" The result is: %ld ",fun(n));
}
/**********-code.c**********/
-
给定程序MODI1.C中函数fun功能是:将长整型数中每一位上为奇数的数依次取出,构成一个新数放在t中。高位仍在高位,低位仍在低位。
例如,当s中的数为:87653142时,t中的数为:7531。
请改正程序中的错误,使它能得出正确的结果。
注意:不要改动main函数,不得增行或删行,也不得更改程序的结构!
/**********code.c**********/
#include <stdio.h>
void fun (long s, long *t)
{
int d;
long sl=1;
/**********found**********/
t = 0;
while ( s > 0)
{
d = s_x0010_;
/**********found**********/
if (d%2 == 0)
{ *t = d * sl + *t;
sl *= 10;
}
s /= 10;
}
}
void main()
{
long s, t;
printf(" Please enter s:"); scanf("%ld", &s);
fun(s, &t);
printf("The result is: %ld ", t);
}
/**********-code.c**********/
-
编写一个函数fun它的功能是:实现两个字符串的连接(使用库函数strcat),即把p2所指的字符串连接到p1所指的字符串后。
例如,分别输入下面两个字符串:
FirstStrinf—
SecondString
程序输出:
FirstString——SecondString
注意:部分源程序在文件PROG1.C文件中。
请勿改动主函数main和其它函数中的任何内容,仅在函数fun的花括号中填入你编写的若干语句。
/**********code.c**********/
#include <stdio.h>
void fun(char p1[], char p2[])
{
}
void main()
{
char s1[80], s2[40] ;void NONO ();
printf("Enter s1 and s2: ") ;
scanf("%s%s", s1, s2) ;
printf("s1=%s ", s1) ;
printf("s2=%s ", s2) ;
printf("Invoke fun(s1,s2): ") ;
fun(s1, s2) ;
printf("After invoking: ") ;
printf("%s ", s1) ;
NONO() ;
}
void NONO ()
{/* 本函数用于执行测试,勿动*/
int i ;
FILE *rf, *wf ;
char s1[80], s2[40] ;
rf = fopen("in.dat","r") ;
wf = fopen("out.dat","w") ;
for(i = 0 ; i < 10 ; i++)
{
fscanf(rf, "%s", s1) ;
fscanf(rf, "%s", s2) ;
fun(s1, s2) ;
fprintf(wf, "%s ", s1) ;
}
fclose(rf) ;
fclose(wf) ;
}
/**********-code.c**********/
/**********indat**********/
12345
67890
kjhjkhkjkl
kljkljkl
jkhjkhjkh
987689
kjhjkh
lmjnklj
sdsfsdfds
fsdfdsf
fsdfsdf
345234
423423
423423
7547dvgdf
5634
gdefgdf
tyerter
34563
565764
/**********-indat**********/
/**********outdat**********/
1234567890
kjhjkhkjklkljkljkl
jkhjkhjkh987689
kjhjkhlmjnklj
sdsfsdfdsfsdfdsf
fsdfsdf345234
423423423423
7547dvgdf5634
gdefgdftyerter
34563565764
/**********-outdat**********/
-
设栈的顺序存储空间为S(0:49),栈底指针bottom=49,栈顶指针top=30(指向栈顶元素)。则栈中的元素个数为( )。
-
面向对象方法中,继承是指( )。
-
软件生命周期是指( )。
-
层次型、网状型和关系型数据库的划分原则是( )。
-
结构化程序的三种基本控制结构是( )。
-
数据库设计中反映用户对数据要求的模式是( )。
-
程序测试的目的是( )。
-
在数据库中,数据模型包括数据结构、数据操作和( )。
-
一名工作人员可以使用多台计算机,而一台计算机可被多名工作人员使用,则实体工作人员与实体计算机之间的联系是( )。
-
有三个关系R、S和T加下:

则由关系R和S得到关系T的操作是( )。
-
以下叙述中正确的是( )。
-
以下选项中叙述正确的是( )。
-
关于C语言标识符,以下叙述错误的是( )。
-
有以下程序(字母A的ASCII代码为65)
#include <stdio.h>
main()
{
char c1 = ′A′, c2 = ′Y′;
printf("%d, %d ", c1, c2 );
}
程序运行后的输出结果是( )。
-
有以下程序
#include <stdio.h>
main()
{ int a;
a = (int)(-1.53*3);
printf("%d ", a);
}
程序的运行结果是( )。
-
若有C语言表达式 2+3*4+7/3,以下选项中叙述正确的执行顺序是( )。
-
若有定义:char c; int d; 程序运行时输入:c=1,d=2<回车>,能把字符1输入给变量c、整数2输入给变量d的输入语句是( )。
-
设有定义:double x=2.12;,以下不能完整输出变量x值的语句是( )。
-
以下叙述中正确的是( )。
-
有以下程序
#include <stdio.h>
main( )
{ int a,b;
for (a=0; a<3; a++)
{ scanf("%d", &b);
switch(b)
{ default: printf("%d,", ++b);
case 1: printf("%d,", ++b);
case 2: printf("%d,", ++b);
}
}
}
执行时输入:1 2 3<回车>,则输出结果是( )。
-
以下程序段中的变量已正确定义
for( i=0; i<4; i++,i++ )
for( k=1; k<3; k++ ); printf("*" );
该程序段的输出结果是( )。
-
有以下程序
#include <stdio.h>
main( )
{ int a=-1, b=-1;
for(; ++a;)++b;
printf("%d,%d ", a, b);
}
程序运行后的输出结果是( )。
-
以下叙述中正确的是( )。
-
以下不能用于描述算法的是( )。
-
有如下程序
#include <stdio.h>
main()
{
int i, *ptr;
int array[5] = {5,3,1};
for (ptr=array, i=0; i<5; i++, ptr++)
{
if (*ptr == 0)
putchar(′X′);
else
putchar(′A′ + *ptr);
}
printf(" ");
}
程序运行后的输出结果是( )。
-
C语言主要是借助以下哪种手段来实现程序模块化?( )
-
设有定义语句int(*f)(int);则以下叙述正确的是( )。
-
下列叙述中正确的是( )。
-
有以下程序
#include <stdio.h>
int m1(int x,int y)
{ return x<=y ? x :y; }
int m2(int x,int y)
{ return x<=y ? y :x; }
int fun(int a,int b)
{ return a+b; }
main()
{ int x=2,y=3,z=1;
printf("%d ", fun(m1(x,y),m2(y,z)));
}
程序的运行结果是( )。
-
以下叙述中正确的是( )。
-
若有定义:
char s[30] = {0};
运行时输入:
This is a string.<回车>
则以下不能正确读入整个字符串:
This is a string.
到字符数组 s 中的语句组是( )。
-
设有如下程序段
#include <stdio.h>
char s[20]="Beijing", *p;
p=s;
则执行p=s;语句后,以下叙述正确的是( )。
-
以下选项中正确的语句组是( )。
-
有以下程序
#include <stdio.h>
#include <stdlib.h>
void fun(int **s, int x[2][3])
{ **s=*(x[1]+1); }
main()
{ int a[2][3] = {1,2,3,4,5,6}, *p;
p = (int*)malloc(sizeof(int));
fun(&p,a);
printf("%d ",*p);
}
程序的运行结果是( )。
-
关于地址和指针,以下说法正确的是( )。
-
以下叙述中错误的是( )。
-
若要使用C数学库中的sin函数,需要在源程序的头部加上
#include <math.h>
关于引用数学库,以下叙述正确的是( )。
-
下面结构体的定义语句中,错误的是( )。
-
有以下程序
#include <stdio.h>
#include <string.h>
struct S
{
char name[10];
};
void change(struct S *data, int value)
{
strcpy(data->name, "#");
value = 6;
}
main( )
{
struct S input;
int num = 3;
strcpy(input.name, "OK");
change(&input, num);
printf("%s,%d ", input.name, num);
}
程序运行后的输出结果是( )。
-
有以下程序
#include <stdio.h>
typedef struct { int b, p; } A;
void f(A c) /* 注意:c是结构变量名 */
{ int j;
c.b += 1; c.p+=2;
}
main()
{ int i;
A a={1,2};
f(a);
printf("%d,%d ", a.b, a.p);
}
程序运行后的输出结果是( )。
-
给定程序中,函数fun的功能是:将形参n所指变量中,各位上为偶数的数去除,剩余的数按原来从高位到低位的顺序组成一个新的数.并通过形参指针n传回所指变量。
例如输入一个数:27638496,新的数:为739。
请在程序的下划线处填八正确的内容并把下划线删除,使程序得出正确的结果。 注意:源程序存放在考生文件夹下的BLANKl.C中。
不得增行或删行,也不得更改程序的结构!
/**********code.c**********/
#include <stdio.h>
void fun(unsigned long *n)
{
unsigned long x=0, i; int t;
i=1;
while(*n)
{
/**********found**********/
t=*n % __1__;
/**********found**********/
if(t%2!= __2__)
{ x=x+t*i; i=i*10; }
*n =*n /10;
}
/**********found**********/
*n=__3__;
}
main()
{
unsigned long n=-1;
while(n>99999999||n<0)
{ printf("Please input(0<n<100000000): "); scanf("%ld",&n); }
fun(&n);
printf(" The result is: %ld ",n);
}
/**********-code.c**********/
-
给定程序MODI1.C中函数fun的功能是:计算n!。例如,给n输入入5,则输出l20.000000。
请改正程序中的错误,使程序能输出正确的结果。
注意:不要改动main函数,不得增行或删行,也不得更改程序的结构。
/**********code.c**********/
#include <stdio.h>
double fun ( int n )
{
double result = 1.0 ;
/**********found**********/
if n = = 0
return 1.0 ;
while( n >1 && n < 170 )
/**********found**********/
result *= n--
return result ;
}
void main ( )
{
int n ;
printf("Input N:") ;
scanf("%d", &n) ;
printf(" %d! =%lf ", n, fun(n)) ;
}
/**********-code.c**********/
-
请编写一个函数fun,它的功能是:将一个表示正整数的数字字符串转换为一个整数(不得调用C语言提供的将字符串转换为整数的函数)。例如,若输入字符串“1234”,则函数把它转换为整数值1234。函数fun中给出的语句仅供参考。
注意:部分源程序存在文件PROG1.C文件中。
请勿改动主函数main和其它函数中的任何内容,仅在函数fun的花括号中填入你编写的若干语句。
/**********code.c**********/
#include <stdio.h>
#include <string.h>
long fun ( char *p)
{
int i,len; /* len为串长*/
long x=0;
len=strlen(p);
/*以下完成数字字符串转换为数字,注意字符'0'不是数字0*/
return x;
}
void main()
{
char s[20] = {"46512"};void NONO ();
long n = fun(s);
printf("%ld ",n);
NONO ( );
}
void NONO ()
{
/*本函数用于执行用例,勿动*/
FILE *fp, *wf ;
int i ;
char s[20] ;
long n ;
fp = fopen("in.dat","r") ;
wf = fopen("out.dat","w") ;
for(i = 0 ; i < 10 ; i++)
{
fscanf(fp, "%s", s) ;
n = fun(s);
fprintf(wf, "%ld ", n) ;
}
fclose(fp) ;
fclose(wf) ;
}
/**********-code.c**********/
/**********indat**********/
1234
5553
6546
4242
6776
4522
5345
6643
8686
12101
/**********-indat**********/
/**********outdat**********/
1234
5553
6546
4242
6776
4522
5345
6643
8686
12101
/**********-outdat**********/
-
结构化程序的三种基本控制结构是( )。
-
软件按功能可以分为应用软件、系统软件和支撑软件(或工具软件)。下面属于应用软件的是( )。
-
通常软件测试实施的步骤是( )。
-
下面描述中错误的是( )。
-
结构化程序所要求的基本结构不包括( )。
-
某二叉树共有7个结点,其中叶子结点只有1个,则该二叉树的深度为(假设根结点在第1层)( )。
-
下列关于栈叙述正确的是( )。
-
在数据库中,数据模型包括数据结构、数据操作和( )。
-
一名教师可讲授多门课程,一门课程可由多名教师讲授。则实体教师和课程问的联系是( )。
-
若变量均已正确定义并赋值,以下合法的C语言赋值语句是( )。
-
以下叙述中错误的是( )。
-
下列叙述中错误的是( )。
-
设有定义:
int a;float b;
执行
scanf"(″-%f″,&a,&b);
语句时,若从键盘输入876 543.0
则a和b的值分别是( )。
-
关于C语言标识符,以下叙述错误的是( )。
-
下列排序方法中,最坏情况下时间复杂度最低的是( )。
-
下列叙述中正确的是( )。
-
下列关于数据库设计的叙述中,正确的是( )。
-
数据库系统的三级模式不包括( )。
-
结构化程序的三种基本控制结构是( )。
-
以下叙述中正确的是( )。
-
程序测试的目的是( )。
-
在数据库中,数据模型包括数据结构、数据操作和( )。
-
一间宿舍可住多个学生,则实体宿舍和学生之间的联系是( )。
-
一个运动队有多个队员,一个队员仅属于一个运动队,一个队一般都有一个教练,则实体运动队和队员的联系是( )。
-
以下叙述中正确的是( )。
-
有三个关系R、S和T如下:

则由关系R和S得到关系T的操作是( )。
-
以下选项中不属于C语言标识符的是( )。
-
有以下程序
#include <stdio.h>
main()
{
printf("%d ", NULL );
}
程序运行后的输出结果是( )。
-
以下选项中,合法的C语言常量是( )。
-
设有定义:int k=0;以下选项的四个表达式中与其他三个表达式的值不相同的是( )。
-
有以下程序
#include <stdio.h>
main()
{ int k=-17;
printf("%d,%o,%x ", k, 1-k, 1-k);
}
程序的运行结果是( )。
-
设有定义:double x=2.12;,以下不能完整输出变量x值的语句是( )。
-
若有定义int x,y; 并已正确给变量赋值,则以下选项中与表达式(x-y)?(x++) : (y++)中的条件表达式(x-y) 等价的是( )。
-
有以下程序
#include <stdio.h>
main( )
{ int a,b;
for (a=0; a<3; a++)
{ scanf("%d", &b);
switch(b)
{ default: printf("%d,", ++b);
case 1: printf("%d,", ++b);
case 2: printf("%d,", ++b);
}
}
}
执行时输入:1 2 3<回车>,则输出结果是( )。
-
有以下程序
#include <stdio.h>
main( )
{ int a=-1, b=-1;
for(; ++a;)++b;
printf("%d,%d ", a, b);
}
程序运行后的输出结果是( )。
-
关于
do 循环体 while (条件表达式);
以下叙述中正确的是( )。
-
有以下程序
#include <stdio.h>
main( )
{
int i, array[6] = {1, 5, 0, 4};
for (i=0; i<5; i++)
printf("%d,", array[i] & 4);
printf(" ");
}
程序运行后的输出结果是( )。
-
字符数组a和b中存储了两个字符串,判断字符串a和b是否相等,应当使用的是( )。
-
在下列模式中,能够给出数据库物理存储结构与物理存取方法的是( )。
-
在满足实体完整性约束的条件下( )。
-
下面描述中,不属于软件危机表现的是( )。
-
下面不属于需求分析阶段任务的是( )。
-
结构化程序的三种基本控制结构是( )。
-
构成计算机软件的是( )。
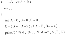
-
在黑盒测试方法中,设计测试用例的主要根据是( )。
-
在数据库中,数据模型包括数据结构、数据操作和( )。
-
有三个关系R、S和T如下:

则由关系R和S得到关系T的操作是( )。
-
在关系模型中,每一个二维表称为一个( )。
-
以下叙述中正确的是( )。
-
以下叙述正确的是( )。
-
以下叙述中错误的是( )。
-
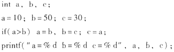
若有定义语句:
int a=3,b=2,c=1;
以下选项中错误的赋值表达式是( )。
-
有以下程序
#include <stdio.h>
main()
{ int x, y, z;
x=y=1;
z=x++,y++,++y;
printf("%d,%d,%d ",x,y,z);
}
程序运行后的输出结果是( )。
-
若想给已定义为int型的变量a,b,c,d赋值为1,以下选项中错误的语句是( )。
-
以下能正确输出字符a 的语句是( )。
-
有以下程序段
int m=33,n=66;
m=m^n; n=n^m; m=m^n;
执行上述语句后,m和n的值分别是( )。
-
有以下程序段,若变量已正确定义并赋值
if(a>b)printf("x=%d,", x);
else printf("y=%d,", y);
if(a<=b)i++;
else j++;
则与此程序段功能相同的选项是( )。
-
有以下程序
#include <stdio.h>
main()
{ int x=1, y=0;
if (!x) y++;
else if (x==0)
if (x) y+=2;
else y+=3;
printf("%d ", y);
}
程序运行后的输出结果是( )。
-
有以下程序
#include <stdio.h>
main()
{
char b,c;
int i;
b= ′a′;
c = ′A′;
for (i=0; i<6; i++)
{
if (i%2) putchar(i+b);
else putchar(i+c);
}
printf(" ");
}
程序运行后的输出结果是( )。
-
有以下程序
#include <stdio.h>
main()
{ int y=9;
for(; y>0; y--)
if(y%3==0) printf("%d", --y);
}
程序的运行结果是( )。
-
以下叙述中正确的是( )。
-
以下叙述中正确的是( )。
-
在以下给出的表达式中,与while(E)中的(E)不等价的表达式是( )。
-
以下数组定义中错误的是( )。
-
下列定义数组的语句中,正确的是( )。
-
以下叙述中正确的是( )。
-
有以下程序
#include <stdio.h>
main( )
{ int i,j = 0;
char a[] = "How are you", b[10] = {0};
for (i=0; a[i]; i++)
if (a[i] == ' ')
b[j++] = a[i+1];
printf("%s ",b);
}
程序运行后的输出结果是( )。
-
以下关于字符串的叙述中正确的是( )。
-
有以下程序
#include <stdio.h>
void fun(int *s)
{
static int j=0;
do s[j] += s[ j+1]; while(++j<2);
}
main()
{
int i, a[10]={1,2,3,4,5};
for( i=1; i<3; i++ ) fun( a );
for( i=1; i<5; i++ ) printf("%d",a[i]);
printf(" ");
}
程序运行后的输出结果是( )。
-
有以下程序
#include <stdio.h>
main()
{
int a[10]={ 11,12,13,14,15,16,17,18,19,20 },*p=a,i=9;
printf("%d,%d,%d ",a[ p-a ], p[i],*(&a[i]));
}
程序运行后的输出结果是( )。
-
有以下程序
#include <stdio.h>
#include <stdlib.h>
void fun( double *p1,double *p2,double *s)
{ s = (double *)calloc( 1,sizeof(double) );
*s = *p1 + *( p2+1 );
}
main()
{ double a[2] = { 1.1, 2.2 }, b[2] = { 10.0, 20.0 }, *s=a;
fun( a, b, s );
printf( "%5.2f ", *s);
}
程序的输出结果是( )。
-
设fp为指向某二进制文件的指针,且已读到此文件末尾,则函数feof(fp)的返回值为( )。
-
以下叙述中正确的是( )。
-
若要使用C数学库中的sin函数,需要在源程序的头部加上
#include <math.h>
关于引用数学库,以下叙述正确的是( )。
-
以下叙述中正确的是( )。
-
下面结构体的定义语句中,错误的是( )。
-
有以下程序
#include <stdio.h>
typedef struct { int b, p; } A;
void f(A c) /* 注意:c是结构变量名 */
{ int j;
c.b += 1; c.p+=2;
}
main()
{ int i;
A a={1,2};
f(a);
printf("%d,%d ", a.b, a.p);
}
程序运行后的输出结果是( )。
-
有以下程序
#include <stdio.h>
main()
{ char x=2, y=2, z;
z=( y<<1 )&( x>>1 );
printf( "%d ",z );
}
程序的输出结果是( )。
-
给定程序中,函数fun的功能是计算下式:
,直到
,
并把计算结果作为函数值返回。
例如:若形参e的值为1e-3,函数的返回值为0.551690。
请在程序的下划线处填入正确的内容并把下划线删除.使程序得出正确的结果。注意:源程序存放在考生文件夹下的BLANK1.C中。
不得增行或删行,也不得更改程序的结构!
/**********code.c**********/
#include
double fun(double e)
{
int i, k; double s, t, x;
s=0; k=1; i=2;
/**********found**********/
x=__1__/4;
/**********found**********/
while(x __2__ e)
{
s=s+k*x;
k=k* (-1);
t=2*i;
/**********found**********/
x=__3__/(t*t);
i++;
}
return s;
}
void main()
{
double e=1e-3;
printf(" The result is: %f ",fun(e));
}
/**********-code.c**********/
-
给定程序MODI1.C中函数fun的功能是:求出以下分数序列的前n项之和。和值通过函数值返回到main函数。

例如,若n=5,则应输出:8.391667。
请改正程序中的错误,使它能计算出正确的结果。
注意:不要改动main函数,不得增行或删行,也不得更改程序的结构!
/**********code.c**********/
#include
/**********found**********/
void fun(int n)
{
int a, b, c, k; double s;
s = 0.0; a = 2; b = 1;
for ( k = 1; k <= n; k++ )
{
/**********found**********/
s = s + (Double)a / b;
c = a; a = a + b; b = c;
}
return s;
}
void main( )
{
int n = 5;
printf( " The value of function is: %lf ", fun ( n ) );
}
/**********-code.c**********/
-
请编写一个函数fun,它的功能是:求出一个2×M整型二维数组中最大元素的值,并将此值返回调用函数。注意部分源程序存在文件PROG1.C文件中。
请勿改动主函数main和其它函数中的任何内容,仅在函数fun的花括号中埴入你编写的若干语句。
/**********code.c**********/
#include <stdio.h>
#define M 4
int fun (int a[][M])
{
}
void main( )
{
int arr[2][M]={5,8,3,45,76,-4,12,82} ;void NONO ();
printf("max =%d ", fun(arr)) ;
NONO( ) ;
}
void NONO ()
{ /* 请在此函数内打开文件,输入测试数据,调用 fun 函数,输出数据,关闭文件。 */
FILE *wf ;
int arr[][M]={5,8,3,90,76,-4,12,82} ;
wf = fopen("out.dat","w") ;
fprintf(wf, "max=%d ", fun(arr)) ;
fclose(wf) ;
}
/**********-code.c**********/
/**********indat**********/
/**********-indat**********/
/**********outdat**********/
max=90
/**********-outdat**********/
-
下列叙述中正确的是( )。
-
栈和队列的共同点是( )。
-
对于现实世界中事物的特征,在实体—联系模型中使用( )。
-
下列关于队列的叙述中正确的是( )。
-
下列选项中属于面向对象设计方法主要特征的是( )。
-
关系表中的每一横行称为一个( )。
-
下面对软件测试和软件调试叙述错误的是( )。
-
在数据库中,数据模型包括数据结构、数据操作和( )。
-
负责数据库中查询操作的数据库语言是( )。
-
一般情况下,当对关系R和S进行自然连接时,要求R和S含有一个或者多个共有的( )。
-
以下叙述正确的是( )。
-
下列叙述中错误的是( )。
-
结构化程序设计主要强调的是( )。
-
为了使模块尽可能独立,要求( )。
-
设某二叉树的后序序列为CBA,中序序列为ABC,则该二叉树的前序序列为( )。
-
结构化程序的三种基本控制结构是( )。
-
在结构化方法中,软件功能分别属于下列软件开发中的( )阶段。
-
下面描述不属于软件特点的是( )。
-
程序测试的目的是( )。
-
关系数据库管理系统所管理的关系是( )。
-
在数据库中,数据模型包括数据结构、数据操作和( )。
-
设有如下三个关系表:

下列操作中正确的是( )。
-
以下选项中合法的标识符是( )。
-
以下叙述中错误的是( )。
-
若有定义:int a=0,b=0,c=0,d=0; ,有C语言表达式 (a++ && b++)? c++ : d++,以下关于其执行顺序的叙述正确是( )。
-
设有两行定义语句:
int scanf;
float case;
则以下叙述正确的是( )。
-
关于C语言标识符,以下叙述错误的是( )。
-
若有C语言表达式 2+3*4+7/3,以下选项中叙述正确的执行顺序是( )。
-
若有定义:char c; int d; 程序运行时输入:c=1,d=2<回车>,能把字符1输入给变量c、整数2输入给变量d的输入语句是( )。
-
若有定义:int a; float b; double c; ,程序运行时输入:1,2,3<回车>,能把1输入给变量a、2输入给变量b、3输入给变量c的输入语句是( )。
-
有以下程序
#include <stdio.h>
main( )
{ int a,b;
for (a=0; a<3; a++)
{ scanf("%d", &b);
switch(b)
{ default: printf("%d,", ++b);
case 1: printf("%d,", ++b);
case 2: printf("%d,", ++b);
}
}
}
执行时输入:1 2 3<回车>,则输出结果是( )。
-
对于 if(表达式)语句,以下叙述正确的是( )。
-
有以下程序
#include <stdio.h>
main( )
{ int a=-1, b=-1;
for(; ++a;)++b;
printf("%d,%d ", a, b);
}
程序运行后的输出结果是( )。
-
有以下程序
#include <stdio.h>
main( )
{ int a=1, b=0;
for(; a<5; a++)
{ if (a%2 == 0)break;
continue;
b += a;
}
printf("%d ", b);
}
程序运行后的输出结果是( )。
-
要求通过while循环不断读入字符,当读入字母N时结束循环。若变量已正确定义,以下正确的程序段是( )。
-
以下叙述中正确的是( )。
-
以下叙述中正确的是( )。
-
设有定义:
char p[]={′1′, ′2′, ′3′},*q=p;
以下不能计算出一个char型数据所占字节数的表达式是( )。
-
以下叙述中正确的是( )。
-
有以下程序
#include <stdio.h>
int k=5;
void f(int *s)
{ s=&k; }
main()
{ int m=3,*p=&m;
f(p);
printf("%d,%d ", m, *p);
}
程序的运行结果是( )。
-
以下叙述中正确的是( )。
-
有以下程序
#include <stdio.h>
int m1(int x,int y)
{ return x<=y ? x :y; }
int m2(int x,int y)
{ return x<=y ? y :x; }
int fun(int a,int b)
{ return a+b; }
main()
{ int x=2,y=3,z=1;
printf("%d ", fun(m1(x,y),m2(y,z)));
}
程序的运行结果是( )。
-
若有定义:
char s[30] = {0};
运行时输入:
This is a string.<回车>
则以下不能正确读入整个字符串:
This is a string.
到字符数组 s 中的语句组是( )。
-
关于地址和指针,以下说法正确的是( )。
-
若有以下程序
#include <stdio.h>
void sp(int *a)
{ int b=2;
*a = *a * 2; printf("%d,", *a);
a=&b; *a = *a * 2; printf("%d,", *a);
}
main()
{ int k=3;
sp(&k); printf("%d ", k);
}
则程序的输出结果是( )。
-
有以下程序
#include <stdio.h>
int *f(int *s,int *t)
{ if (*s < *t)
s=t;
return s;
}
main()
{ int i=3, j=5, *p=&i, *q=&j, *r;
r=f(p,q);
printf("%d,%d,%d,%d,%d ", i, j, *p, *q, *r);
}
程序的运行结果是( )。
-
若有定义:
char *ps[ ] = {"aa", "bb", "cc", "dd"};,
则以下叙述正确的是( )。
-
以下叙述中正确的是( )。
-
若要使用C数学库中的sin函数,需要在源程序的头部加上
#include <math.h>
关于引用数学库,以下叙述正确的是( )。
-
有以下程序
#include <stdio.h>
main( )
{
int i;
FILE* fp;
for (i=0; i<3; i++)
{
fp = fopen("res.txt", "w");
fputc('K' + i, fp);
fclose(fp);
}
}
程序运行后,在当前目录下会生成一个res.txt文件,其内容是( )。
-
以下叙述中错误的是( )。
-
下面结构体的定义语句中,错误的是( )。
-
人员的记录由编号和出生年、月、日组成,N名人员的数据已在主函数中存入结构体数组std中,且编号唯一。函数fun的功能是:找出指定编号人员的数据,作为函数值返回,由主函数输出,若指定编号不存在,返回数据中的编号为空串。
请在程序的下划线处填入正确的内容并把下划线删除,使程序得出正确的结果。
注意:源程序存放在考生文件夹下的BLANK1.C中。
不得增行或删行,也不得更改程序的结构!
/**********code.c**********/
#include <stdio.h>
#include <string.h>
#define N 8
typedef struct
{
char num[10];
int year,month,day ;
}STU;
/**********found**********/
__1__ fun(STU *std, char *num)
{
int i; STU a={"",9999,99,99};
for (i=0; i<N; i++)
/**********found**********/
if( strcmp(__2__,num)==0 )
/**********found**********/
return (__3__);
return a;
}
void main()
{
STU std[N]={ {"111111",1984,2,15},{"222222",1983,9,21},{"333333",1984,9,1},
{"444444",1983,7,15},{"555555",1984,9,28},{"666666",1983,11,15},
{"777777",1983,6,22},{"888888",1984,8,19}};
STU p;
char n[10]="666666";
p=fun(std,n);
if(p.num[0]==0)
printf(" Not found ! ");
else
{
printf(" Succeed ! ");
printf("%s %d-%d-%d ",p.num,p.year,p.month,p.day);
}
}
/**********-code.c**********/
-
下列叙述中正确的是( )。
-
以下叙述中错误的是( )。
-
C语言主要是借助以下( )功能来实现程序模块化的。
-
有以下程序段:
char ch; int k;
ch='a'; k =12;
printf("%c,%d,",ch,ch,k); printf("k=%d ",k);
已知字符a的ASCII码十进制值为97,则执行上述程序段后输出的结果是( )。
-
下列叙述中正确的是( )。
-
若要实现total=1+2+3+4+5求和,以下程序段错误的是( )。
-
下列不属于软件工程3个要素的是( )。
-
下面不属于黑盒测试方法的是( )。
-
有三个关系R、S和T如下:

则下列操作中正确的是( )。
-
下列选项中,不属于数据管理员(DBA)职责的是( )。
-
有以下程序
#include
main()
{ int a=0,b=0;
/*给a赋值a=10;
b=20;给b赋值*/
printf("a+b=%d ",a+b);/*输出计算结果*/
}
程序运行后的输出结果是( )。
-
有以下程序段
#include <stdio.h>
int a,b,c;
a=10;b=50;c=30;
if(a>b)a=b,b=c;c=a;
printf("a=%d b=%d c=%d ",a,b,c);
程序的输出结果是( )。
-
下列二叉树描述中,正确的是( )。
-
下列叙述中,不符合良好程序设计风格要求的是( )。
-
有以下程序
#include <stdio.h>
main()
{ int x,y,z;
x=y=1;
z=x++,y++,++y;
printf("%d,%d,%d ",x,y,z);
}
程序运行后的输出结果是( )。
-
设二叉树如下:

则后序序列为( )。
-
以下叙述中正确的是( )。
-
有以下程序:
#include <stdio.h>
main()
{ int a=1,b=0;
if(--a) b++;
else if(a==0) b+=2;
else b+=3;
printf("%d ",b);
}
程序运行后的输出结果是( )。
-
待排序的关键码序列为(15,20,9,30,67,65,45,90),要按关键码值递增的顺序排序,采取简单选择排序法,第一趟排序后关键码15被放到第( )个位置。
-
下列关系表达式中,结果为“假”的是( )。
-
有如下程序:
#include <stdio.h>
main()
{
int i;
for (i=0;i<5;i++)
putchar(‘9'-i);printf(" ");
}
程序运行后的输出结果是( )。
-
下列叙述中正确的是( )。
-
以下关于C语言函数参数传递方式的叙述正确的是( )。
-
以下叙述中错误的是( )。
-
有以下程序(说明:字母A的ASCII码值是65):
#include <stdio.h>
void fun(char *s)
{ while(*s)
{ if(*s%2)printf("%c",*s);
s++;
}
}
main()
{ char a[]="BYTE";
fun(a);printf(" ");
}
程序运行后的输出结果是( )。
-
有以下程序:
#include <stdio.h>
main()
{…
while(getchar()!=′ ′);
…
}
以下叙述中正确的是( )。
-
有以下程序:
#include <stdio.h>
void fun(int *p,int *q)
main()
{ int m=1,n=2,*r=&m;
f(r,&n);printf("%d,%d",m,n);
}
void f(int *p,int *q)
{ p=p+1;*q=*q+1; }
程序运行后的输出结果是( )。
-
以下函数按每行8个输出数组中的数据:
void fun(int *w,int n)
{ int i;
for(i=0;i<n;i++)
{
printf("%d",w[i]);
}
printf(" ");
}
下画线处应填入的语句是( )。
-
以下叙述中正确的是( )。
-
设有以下定义:
char s1[]="0123";
char s2[]={‘0',‘1', ‘2',‘3'};
则以下叙述正确的是( )。
-
有以下程序(strcpy为字符串复制函数,strcat为字符串连接函数):
#include <stdio.h>
#include <string.h>
main()
{ char a[10]="abc",b[10]="012",c[10]="xyz";
strcpy(a+1,b+2);
puts(strcat(a,c+1));
}
程序运行后的输出结果是( )。
-
以下叙述中正确的是( )。
-
有以下函数:
#include <stdio.h>
void func(int n)
{ int i;
for(i=0;i<=n;i++)printf("*");
printf("#");
}
main()
{ func(3);printf("????");func(4);printf(" "); }
程序运行后的输出结果是( )。
-
有以下程序:
#include
int b=2;
int fun(int *k)
{ b=*k+b;
?return(b);
}
main()
{ int a[10]={1,2,3,4,5,6,7,8},i;
?for(i=2;i<4;i++){b=fun(&a[i])+b;printf("%d",b);}
?printf(" ");
}
程序运行后的输出结果是( )。
-
以下叙述中正确的是( )。
-
有以下程序:
#include <stdio.h>
main()
{
char a,b,c,d;
scanf("%c%c",&a,&b);
c=getchar();d=getchar();
printf("%c%c%c%c ",a,b,c,d);
}
当执行程序时,按下列方式输入数据(从第一列开始,<CR>代表回车,注意:回车是一个字符)
12<CR>
34<CR>
则输出结果是( )。
-
在C语言中,只有在使用时才占用内存单元的变量,其存储类型是()。
-
以下程序:
#include <stdio.h>
void fun(int x)
{ if(x/2>1) fun(x/2);
printf("%d",x);
}
main()
{ fun(7);printf(" "); }
程序运行后的结果是( )。
-
以下结构体类型说明和变量定义中正确的是( )。
-
以下叙述正确的是( )。
-
请补充fun函数,该函数的功能是:计算N×N维矩阵元素的方差,结果由函数返回。维数在主函数中输入。例如:

的计算结果是14.414。
求方差的公式为:
其中
注意:
请勿改动主函数main和其他函数中的任何内容,仅在函数fun的横线上填入所编写的若干表达式或语句。
/**********code.c**********/
#include <stdio.h>
#include <stdlib.h>
#include <math.h>
#define N 20
/**********found**********/
double fun(__1__,int n)
{
int i,j;
double s=0.0;
double f=0.0;
double aver=0.0;
double sd=0.0;
for(i=0;i<N;i++)
for(j=0;j<N;j++)
s+=a[i][j];
/**********found**********/
aver=__2__;
for(i=0;i<N;i++)
for(j=0;j<N;j++)
f+=(a[i][j]-aver)*(a[i][j]-aver);
f/=(n*n);
/**********found**********/
sd=__3__;
return sd;
}
void main()
{
int a[N][N];
int n;
int i,j;
double s;
printf("*****Input the dimension of array N****** ");
scanf("%d",&n);
printf("*****The array***** ");
for(i=0;i<N;i++)
{
for(j=0;j<N;j++)
{
a[i][j]=rand()P;
while (a[i][j]==0)
a[i][j]=rand()`;
printf("M",a[i][j]);
}
printf(" ");
}
s=fun(a,n);
printf("*****THE RESULT***** ");
printf("%4.3f ",s);
}
/**********-code.c**********/
-
下列给定程序中,函数fun()的功能是:将n个无序整数从小到大排序。请改正程序指定部位的错误,使它能得到正确结果。
注意:
不要改动函数main(),不得增行或删行,也不得更改程序的结构。
/**********code.c**********/
#include <stdio.h>
void fun(int n, int *a)
{
int i,j,p,t;
for(j=0;j<n-1;j++)
{
p=j;
/**********found**********/
for(i=j+1;i<n-1;i++)
if(a[p]>a[i])
/**********found**********/
t=i;
if(p!=j)
{t=a[j];a[j]=a[p];a[p]=t;}
}
}
void putarr(int n, int *z)
{
int i;
for(i=1;i<=n;i++,z++)
{
printf("M",*z);
if(!(i_x0010_))
printf(" ");
}
printf(" ");
}
void main()
{
int aa[20]={9,3,0,4,1,2,5,6,8,10,7},n=11;
printf(" Before sorting %d numbers: ",n);putarr(n,aa);
fun(n,aa);
printf(" After sorting %d numbers: ",n);putarr(n,aa);
}
/**********-code.c**********/
-
函数fun的功能是:将a、b中的两个两位正整数合并形成一个新的整数放在c中,合并的方式是:将a中的十位和个位数依次放在变量c的千位和十位上,b中的十位数和个位数依次放在变量c的个位和百位上。
例如:a=45,b=12。调用该函数后:c=4251。
注意:
请勿改动主函数main和其他函数中的任何内容,仅在fun函数的花括号中填入所编写的若干语句。
/**********code.c**********/
#include <stdio.h>
void fun(int a, int b, long *c)
{
}
void main()
{
void NONO ();
int a,b;long c;
printf("Input a,b:");
scanf("%d %d",&a,&b);
fun(a,b,&c);
printf("The result is:%ld ",c);
NONO ();
}
void NONO ()
{/*本函数用于执行测试,勿动*/
FILE *rf, *wf ;
int i, a,b ; long c ;
rf = fopen("in.dat","r") ;
wf = fopen("out.dat","w") ;
for(i = 0 ; i < 10 ; i++) {
fscanf(rf, "%d,%d", &a, &b) ;
fun(a, b, &c) ;
fprintf(wf, "%ld ", c) ;
}
fclose(rf) ;
fclose(wf) ;
}
/**********-code.c**********/
/**********indat**********/
45,12
63,54
14,78
88,91
71,13
12,45
72,32
29,99
34,43
22,44
/**********-indat**********/
/**********outdat**********/
4251
6435
1847
8189
7311
1524
7223
2999
3344
2424
/**********-outdat**********/
-
某二叉树的中序序列为DCBAEFG,后序序列为DCBGFEA,则该二叉树的深度(根节点在第1层)为( )。
-
设有定义:struct{intn;floatx;}
s[2],m[2]={{10,2.8},{0,0.0}};
则以下赋值语句中正确的是( )。
-
关于C语言标识符,以下叙述错误的是( )。
-
以下程序段中的变量已定义为int类型,则
sum=pad=5; pAd=sum++, ++pAd;
? ? ? printf("%d ",pad);
程序段的输出结果是( )。
-
设循环队列为Q(1:m),其初始状态为front=rear=m。经过一系列入队与退队运算后,front=20,rear=15。现要在该循环队列中寻找最小值的元素,最坏情况下需要比较的次数为( )。
-
以下选项中,合法的C语言常量是( )。
-
设有定义int x=0,*p;,立即执行以下语句,正确的语句是( )。
-
C语言中,最基本的数据类型包括( )。‘
-
下列叙述中错误的是( )。
-
以下能正确输出字符a的语句是( )。
-
字符数组a和b中存储了两个字符串,判断字符串a和b是否相等,应当使用的是( )。
-
设有定义:int x=11,y=12,z=0;,以下表达式值不等于12的是( )。
-
下列叙述中正确的是( )。
-
以下选项中,合法的实数是( )。
-
以下选项中叙述正确的是( )。
-
在源程序的开始处加上“#include<stdio.h>”进行文件引用的原因,以下叙述正确的是( )。
-
下面属于白盒测试方法的是( )。
-
有以下程序(其中的strstr()函数头部格式为:char*strstr(char*p1,char*p2.确定p2字符串是否在p1中出现,并返回p2第一次出现的字符串首地址):
#include
#include
char *a="you";
char *b="Welcome you to Beijing!";
main()
{char *p;
? ? ? p=strstr(b,a)+strlen(a)+1;
? ? ? printf("%s ",p);
}
程序的运行结果是( )。
-
有如下程序:
#include <stdio.h>
void change(int* array, int len)
{
for(; len>=0;len--)
array[len]-= 1;
}
main()
{
int i, array[5] ={2,2};
change(array,4);
for(i=0;i<5;i++)
printf("%d,",array[i]);
printf(" ");
}
程序运行后的输出结果是( )。
-
有如下程序:
#include <stdio.h>
main()
{
int i,data;
scanf("%d",&data);
for(i=0;i<5;i++)
{
if(i < data)continue;
printf("%d,",i);
}
printf(" ");
}
程序运行时,从键盘输入:3<回车>后,程序输出结果为( )。
-
设序列长度为n,在最坏情况下,时间复杂度为O(1og2n)的算法是( )。
-
有以下程序:
#include <stdio.h>
main()
{
int x;
scanf("%d",&x);
if(x>10) printf("1");
else if(x>20) printf("2");
else if(x>30) printf("3");
}
若运行时输入:35<回车>,则输出结果是( )。
-
下列关于C语言文件的叙述中正确的是( )。
-
有以下程序:
#include <stdio.h>
main()
{ int m=1,n=2,*p=&m,*q=&n,*r;
r=p,p=q;q=r;
printf("%d,%d,%d,%d ",m,n,*p,*q);
}
程序运行后的输出结果是( )。
-
有以下程序:
#include <stdio.h>
#include<string.h>
struct A
{ int a;char b[10];double c;};
struct A f(struct A t);
main()
{ struct A a={1001,"ZhangDa",1098.0};
a=f(a);printf("%d,%s,%6.1f ",a.a,a.b,a.c);
}
struct A f(struct A t)
{ t.a=1002;strcpy(t.b,"ChangRong");t.c=1202.0;return t;}
程序运行后的输出结果是( )。
-
数据库管理系统是( )。
-
有以下程序:
#include <stdio.h>
void fun(int p)
{ int d=2;
p=d++;printf("%d",p);
}
main()
{ int a=1;
fun(a);printf("%d ",a);
}
程序运行后的输出结果是( )。
-
有以下程序:
#include <stdio.h>
#define f(x)x*x*x
main()
{ int a=3,s,t;
s=f(a+1);t=f((a+1));
printf("%d,%d ",s,t);
}
程序运行后的输出结果是( )。
-
有以下程序:
#include <stdio.h>
main()
{ int a[]={2,3,5,4},i;
for(i=0;i<4;i++)
switch(i%2)
{ case 0:switch(a[i]%2)
{ case 0:a[i]++;break;
case 1:a[i]--;
}break;
case 1:a[i]=0;
}
for(i=0;i<4;i++)printf("%d",a[i]);printf(" ");
}
程序运行后的输出结果是( )。
-
若有以下程序段:
int r=8;
printf("%d ",r>>1);
输出结果是( )。
-
有以下定义语句,编译时会出现编译错误的是( )。
-
下面结构体的定义语句中,错误的是( )。
-
有以下程序:
#include <stdio.h>
#include<string.h>
main()
{ char a[10]="abcd";
printf("%d,%d ",strlen(a),sizeof(a));
}
程序运行后的输出结果是( )。
-
以下函数findmax拟实现在数组中查找最大值并作为函数值返回,但程序中有错导致不能实现预定功能。
#define MIN -2147483647
int fingmax (int x[],int n)
{ int i,max;
for(i=0;i<n;i++)
{ max=MIN;
if(max<x[i])max=x[i];
}
return max;
}
造成错误的原因是( )。
-
设有定义:char *c;以下选项中能够使字符型指针c正确指向一个字符串的是( )。
-
软件详细设计产生的图如下:

该图是( )。
-
有以下程序:
#include<stdio.h>
main()
{
int a=5,b=1,t;
t=(a<<2)|b;
printf("%d ",t);
}
程序运行后的输出结果是( )。
-
设函数中有整型变量n,为保证其在未赋值的情况下初值为0,应选择的存储类别是( )。
-
若有以下定义:
int x[10], *pt=x;
则对x数组元素的正确引用是( )。
-
有以下程序:
#include<stdio.h>
struct ord
{ int x,y;}dt[2]={1,2,3,4};
main()
{ struct ord *p=dt;
printf("%d",++p->x);
printf("%d",++p->y);
}
程序运行后的输出结果是( )。
-
以下函数按每行8个输出数组中的数据:
void fun(int *w,int n)
{ int i;
for(i=0;i<n;i++)
{
______
printf("%d",w[i]);
}
printf(" ");
}
下划线处应填入的语句是( )。
-
有以下程序:
#include<stdio.h>
int b=2;
int fun(int*k)
{ b=*k+b;
return(b);
}
main()
{ int a[10]={1,2,3,4,5,6,7,8},i;
for(i=2;i<4;i++){b=fun(&a[i])+b;printf("%d",b);}
printf(" ");
}
程序运行后的输出结果是( )。
-
有以下程序:
#include<stdio.h>
void fun(char*s)
{
while(*s)
{
if(*s%2==0)printf("%c",*s);
s++;
}
}
main()
{
char a[]=("good");
fun(a);printf(" ");
}
注意:字母a的ASCII码值为97,程序运行后的输出结果是( )。
-
有以下程序:
#include <stdio.h>
main()
{ FILE *f;
f=fopen("filea.txt","w");
fprintf(f,"abc");
fclose(f);
}
若文本文件filea.txt中原有内容为:hello,则运行以上程序后,文件filea.txt中的内容为( )。
-
有以下程序:
#include <stdio.h>
int f(int x,int y)
{
return((y-x)*x);
}
main()
{
int a=3,b=4,c=5,d;
d=f(f(a,b),f(a,c));
printf("%d ",d);
}
程序运行后的输出结果是( )。
-
有以下程序:
#include<stdio.h>
#define PT 3.5
#define S(x) PT*x*x
main()
{ int a=1,b=2;
printf("%4.1f ",S(a+b));
}
程序运行后的输出结果是( )。
-
有以下程序:
#include <stdio.h>
main()
{
int a1,a2; char c1,c2;
scanf("%d%c%d%c",&a1,&c1,&a2,&c2);
printf("%d,%c,%d,%c",a1,c1,a2,c2);
}
若想通过键盘输入,使得a1的值为12,得a2的值为34.得c1的值为a,得c2的值为b,程序输出结果是:12,a,34,b则正确的输入格式是(以下_代表空格,<CR>代表回车)( )。
-
设有宏定义;#define IsDIV(k,n)((k%n==1)?1:0)且变量m已正确定义并赋值则宏调用:IsDIV(m,5)&&IsDIV(m,7)为真时所要表达的是( )。
-
支持子程序调用的数据结构是( )。
-
将E-R图转换为关系模式时,实体和联系都可以表示为( )。
-
有以下程序:
#include <stdio.h>
void fun(int*p,int*q)
main()
{
int m=1,n=2,*r=&m;
f(r,&n);printf("%d,%d",m,n);
}
void f(int*p,int*q)
{ p=p+1;*q=*q+1;}
程序运行后的输出结果是( )。
-
有两个关系R,S如下:

由关系R通过得到关系s,则所使用的运算为( )。
-
有以下程序:
#include <stdio.h>
#define N 4
void fun(int a[][N],int b[])
{ int i;
for(i=0;i<N;i++)b[i]=a[i][i];
}
main()
{ int x[][N]={{1,2,3},{4},{5,6,7,8},{9,10}},y[N],i;
fun(x,y);
for(i=0;i<N;i++)printf("%d,",y[i]);
printf(" ");
}
程序运行的结果是( )。
-
有以下程序:
#include <stdio.h>
main()
{ char a=4;
printf("%d ",a=a<<1);
}
程序运行的结果是( )。
-
一个栈的初始状态为空。现将元素1、2、3、4、5、A、B、C、D、E依次入栈,然后再依次出栈,则元素出栈的顺序是( )。
-
有以下程序:
#include <stdio.h>
struct st
{ int x,y;} data[2]={1,10,2,20};
main()
{ struct st *p=data;
printf("%d,",p->y);printf("%d ",(++p)->x);
}
程序运行的结果是( )。
-
在长度为n的有序线性表中进行二分查找,最坏情况下需要比较的次数是( )。
-
假定已建立以下数据链表结构,且指针p和q已指向如下图所示的结点:

则以下选项中可将q所指结点从链表中删除并释放该结点的语句是( )。
-
有以下程序段:
int a,b,c;
a=10;b=50;c=30;
if(a>b)a=b,b=c;c=a;
printf("a=?=ü=%d",a,b,c);
程序的输出结果是( )。
-
有以下程序:
#include <stdio.h>
int fun(int (*s)[4],int n,int k)
{ int m,i;
m=s[0][k];
for(i=1;i<n;i++)if(s[i][k]>m)m=s[i][k];
return m;
}
main()
{ int a[4][4]={{1,2,3,4},{11,12,13,14},{21,22,23,24},{31,32,33,34}};
printf("%d ",fun(a,4,0));
}
程序运行的结果是( )。
-
有以下程序:
#include <stdio.h>
main()
{
int i=5;
do
{ if(i%3==1)
if(i%5==2)
{ printf("*%d",i);break;}
i++;
} while(i!=0);
printf(" ");
}
程序运行的结果是( )。
-
有以下程序:
#include <stdio.h>
#include <stdlib.h>
int fun(int n)
{ int *p;
p=(int*)malloc(sizeof(int));
*p=n;return*p;
}
main()
{ int a;
a=fun(10);printf("%d ",a+fun(10));
}
程序运行的结果是( )。
-
有以下程序:
#include <stdio.h>
main()
{
int x=1,y=2,z=3;
if(x>y)
if(y<z)printf("%d",++z);
else printf("%d",++y);
printf("%d ",x++);
}
程序运行的结果是( )。
-
若有定义语句:double x[5]={1.0,2.0,3.0,4.0,5.0},*p=x,则错误引用X数组元素的是( )。
-
有以下程序:
#include <stdio.h>
void fun(int a,int b)
{ int t;
t=a;a=b;b=t;
}
main()
{ int c[10]={1,2,3,4,5,6,7,8,9,0},i;
for(i=0;i<10;i+=2)fun(c[i],c[i+1]);
for(i=0;i<10;i++)printf("%d,",c[i]);
printf(" ");
}
程序运行的结果是( )。
-
以下关于宏的叙述中正确的是( )。
-
在面向方法中,不属于“对象”基本特点的是( )。
-
有以下程序:
#include <stdio.h>
void fun(int a[],int n)
{ int i,t;
for(i=0;i<n/2;i++){t=a[i];a[i]=a[n-1-i];a[n-1-i]=t;}
}
main()
{ int k[10]={1,2,3,4,5,6,7,8,9,10},i;
fun(k,5);
for(i=2;i<8;i++)printf("%d",k[i]);
printf(" ");
}
程序运行的结果是( )。
-
C源程序中不能表示的数制是( )。
-
有以下程序:
#include <stdio.h>
int fun(int a,int b)
{ if(b==0)return a;
else return(fun(--a,--b));
}
main()
{ printf("%d ",fun(4,2));}
程序运行的结果是( )。
-
计算机能直接执行的程序是( )。
-
以下叙述中错误的是( )。
-
有以下定义:
struct data
{ int i;char c;double d; } x;
以下叙述中错误的是( )。
-
以下函数的功能是:计算a的n次方作为函数值返回。
double fun(double a,int n)
{ int i;double s=1.0;
for(i=1;i<=n;i++)s=______;
return s;
}
为实现上述功能,函数中下划线处应填入的是( )。
-
有以下程序:
#include <stdio.h>
#include <string.h>
main()
{ char str[]={"Hello,Beijing"};
printf("%d,%d ",strlen(str),sizeof(str));
}
程序的运行结果是( )。
-
若有说明:typedef struct{int a;char c;}w;,则以下叙述正确的是( )。
-
以下叙述中错误的是( )。
-
若有以下定义:
struct tt{char name[10];char sex;} aa={"aaaa",'F'},*p=&aa;
则错误的语句是( )。
-
C语言编译程序的功能是( )。
-
有以下程序:
#include <stdio.h>
int fun(int n)
{ if(n)return fun(n-1)+n;
else return 0;
}
main()
{ printf("%d ",fun(3)); }
程序的运行结果是( )。
-
有以下程序:
#include <stdio.h>
main()
{ int sum=0,x=5;
do{ sum+=x; } while(!--x);
printf("%d ",sum);
}
程序的运行结果是( )。
-
下面不属于软件设计阶段任务的是( )。
-
有以下程序:
#include <stdio.h>
#include <string.h>
typedef struct {char name[9];char sex; float score[2];} STU;
void f(STU *A)
{ strcpy(a->name,"Zhao");
a->sex='m';a->score[1]=90.0;
}
main()
{ STU c={"Qian",'f',95.0,92.0},*d=&c;
f(D);printf("%s,%c,%2.0f,%2.0f ",d->name,c.sex,c.score[0],c.score[1]);
}
程序的运行结果是( )。
-
在C语言程序中,下列说法正确的是( )。
-
执行以下程序段后,S的值为( )。
int a[]={ 1,2,3,4,5,6,7;8,9 },s=0,k;
for(k=0;k<8;k+=2)s+=*(a+k);
-
有以下程序:
#include <stdio.h>
#define M 5
#define f(x,y)x*y+M
main()
{
int k;
k=f(2,3)*f(2,3);
printf("%d ",k);
}
程序的运行结果是( )。
-
有以下程序:
#include <stdio.h>
main()
{ char ch='Z';
ch=(ch-'A'+1)&+'A';putchar(ch);
}
程序的运行结果是( )。
-
下面属于黑盒测试方法的是( )。
-
有以下程序:
#include <stdio.h>
main()
{ int i,j,k,a=5,b=6;
i=(a==b)?++a:--b;
j=a++;k=b;printf("%d,%d,%d ",i,j,k);
}
程序的运行结果是( )。
-
C语言程序中,若函数无返回值,则应该对函数说明的类型是( )。
-
有以下程序:
#include <stdio.h>
main()
{ int k,n=0;char c,str[]="teach";
for(k=0;str[k];k++)
{ c=str[k];
switch(k)
{ casel: case3: case5: putchar(C);printf("%d",++n);break;
default:putchar('N');
}
}
}
程序的运行结果是( )。
-
有以下程序:
#include <stdio.h>
void fun(char(*p)[6])
{ int i;
for(i=0;i<4;i++)printf("%c",p[i][i]);
printf(" ");
}
main()
{ char s[6][6]={"ABCD","abcde","12345","FGHIJ","fghij","54321"};
fun(s);
}
程序的运行结果是( )。
-
设变量x为long int型并已正确赋值,以下表达式中能将x的百位上的数字提取出的是( )。
-
在E-R图中,表示实体的图元是( )。
-
下面对软件特点描述不正确的是( )。
-
设x,y,z均为实型变量,代数式
在C语言中的正确写法是( )。
-
有以下程序:
#include <stdio.h>
#define N 4
void fun(int a[][N],int b[])
{ int i;
for(i=0;i<N;i++)b[i]=a[i][N-1-i];
}
main()
{ int x[N][N]={1,2,3,4,5,6,7,8,9,10,11,12,13,14,15,16},y[N],i;
fun(x,y);
for(i=0;i<N;i++)printf("%d,",y[i]);
printf(" ");
}
程序的运行结果是( )。
-
在下列链表中,能够从任意一个结点出发直接访问到所有结点的是( )。
-
有以下程序:
#include <stdio.h>
main()
{ int i,j,x=0;
for(i=0;i<2;i++)
{ x++;
for(j=0;j<=3;j++)
{ if(j%2==0)continue;x++;}
x++;
}
printf("x=%d ",x);
}
程序的运行结果是( )。
-
对图书进行编目时,图书有如下属性:ISBN书号,书名,作者,出版社,出版日期。能作为关键字的是( )。
-
若主函数中有定义语句:int a[10],b[10],c;,在主函数前定义的fun函数首部为:void fun(int x[ ]),则以下选项中错误的调用语句是( )。
-
构成C语言程序的三种基本结构是( )。
-
下列形式中不合法的常量是( )。
-
下列与栈结构有关联的是( )。
-
以下不是C语言字符型或字符串常量的是( )。
-
下列数据结构中,属于非线性结构的是( )。
-
有以下程序:
#include <stdio.h>
main()
{
int k=10;
printf("M,%o,%x ",k,k,k);
}
程序的运行结果是( )。(□代表一个空格)
-
数据库管理系统是( )。
-
若有定义:int a=1,b=2,c=3;,则执行表达式(a=b+c)‖(++b)后a,b,c的值依次为( )。
-
有两个关系R和T如下:

则由关系R得到关系T的操作是( )。
-
设有:char s[5],c;,则调用函数scanf能正确给s和c读入数据的是( )。
-
若变量已正确定义并赋值,则错误的赋值语句是( )。
-
下列给定的程序中,函数fun()的功能是:求出以下分数序列的前n项和。2/1,3/2,5/3,8/5,13/8,21/13,……和值通过函数值返回main()函数。例如,若输入n=5,则应输出8.391667。
注意:部分源程序给出如下。
请勿改动主函数main和其他函数中的任何内容,仅在函数fun的横线上填入所编写的若干表达式或语句。
/**********code.c**********/
#include <stdio.h>
#include <conio.h>
double fun(int n)
{
int a=2,b=1,c,k;
/**********found**********/
double __1__;
for(k=1;k<=n;k++)
{
s=s+1.0*a/b;
/**********found**********/
c=a,a+=__2__;b=c;
}
return(s);
}
main()
{
int n=5;
/**********found**********/
printf(" The value of function is: ",__3__);
}
/**********-code.c**********/
-
给定程序中函数fun的功能是:根据整型形参m,计算如下公式的值。

例如,若m中的值为:5,则应输出:1.463611。请改正程序中的错误,使它能得到正确结果。
注意:不要改动main函数,不得增行或删行,也不得更改程序的结构。
/**********code.c**********/
#include <stdio.h>
double fun(int m)
{
double y=1.0;
int i;
/**********found**********/
for(i=2;i<m;i++)
/**********found**********/
y+=1/(i*i);
return(y);
}
main()
{
int n=5;
printf("% The result is ",fun(n));
}
/**********-code.c**********/
-
请编写函数fun(),该函数的功能是:移动一维数组中的内容,若数组中有n个整数,要求把下标从p~n-1(p<n-1)的数组元素平移到数组的前面。
例如,一维数组中的原始内容为1,2,3,4,5,6,7,8,9,10,11,12,13,14,15,的值为6。移动后,一维数组的内容应为7,8,9,10,11,12,13,14,15,1,2,3,4,5,6。
注意:部分源程序给出如下。
请勿改动主函数main和其他函数中的任何内容,仅在函数fun的花括号中填入所编写的若干语句。
/**********code.c**********/
#include <stdio.h>
#define N 80
void fun(int*w,int p,int n)
{
}
void main()
{
int a[N]={ 1,2,3,4,5,6,7,8,9,10,11,12,13,14,15};
int i,p,n=15;
void NONO ();
printf("The original data: ");
for(i=0;i<n;i++)
printf("=",a[i]);
printf(" Enter p: ");
scanf("%d",&p);
fun(a,p,n);
printf(" The data after moving: ");
for(i=0;i<n;i++)
printf("=",a[i]);
printf(" ");
NONO();
}
void NONO ()
{
/* 本函数用于打开文件,输入数据,调用函数,输出数据,关闭文件。 */
int j,k,p;
FILE *rf,*wf;
rf = fopen("in.dat","r");
wf= fopen("out.dat","w");
for(j=0;j<10;j++)
{
int a[15]={1,2,3,4,5,6,7,8,9,10,11,12,13,14,15};
fscanf(rf, "%d",&p) ;
fun(a,p,15);
for(k=0;k<15;k++)
fprintf(wf,"M",a[k]);
fprintf(wf," ");
}
fclose(rf);
fclose(wf);
}
/**********-code.c**********/
/**********indat**********/
1
2
3
4
5
6
7
8
9
10
/**********-indat**********/
/**********outdat**********/
2 3 4 5 6 7 8 9 10 11 12 13 14 15 1
3 4 5 6 7 8 9 10 11 12 13 14 15 1 2
4 5 6 7 8 9 10 11 12 13 14 15 1 2 3
5 6 7 8 9 10 11 12 13 14 15 1 2 3 4
6 7 8 9 10 11 12 13 14 15 1 2 3 4 5
7 8 9 10 11 12 13 14 15 1 2 3 4 5 6
8 9 10 11 12 13 14 15 1 2 3 4 5 6 7
9 10 11 12 13 14 15 1 2 3 4 5 6 7 8
10 11 12 13 14 15 1 2 3 4 5 6 7 8 9
11 12 13 14 15 1 2 3 4 5 6 7 8 9 10
/**********-outdat**********/
Copyright 2023 上海欣师教育科技有限公司