建筑工程>公用设备工程师 > 给水排水(公共基础) > 第四节 信号与信息
给水排水(公共基础) - 相关题库
单选题
编号:940538
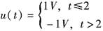
1. 图7-4-3所示非周期信号u(t)的时域描述形式是( )。[2013年真题](注:l(t)是单位阶跃函数)
图7-4-3
A.
B.u(t)=-l(t-1)+2×l(t-2)-l(t-3)V
C.u(t)=l(t-1)-l(t-2)V
D.u(t)=-l(t+1)+l(t+2)-l(t+3)V
登录后查看答案及解析
选择购买的题库
2025年公用设备工程师《给水排水(公共基础)》考试题库
试题数量:2962
价格:60.00/年