建筑工程>公用设备工程师 > 给水排水(公共基础) > 第三节 动力学
给水排水(公共基础) - 相关题库
单选题
编号:934713
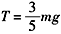
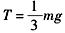
1. 如图4-3-32所示,均质圆轮质量为m,轮上绕以细绳,绳的一端固定不动。轮心从初始位置A0无初速度下落。则当轮心降落高度为h时绳子一端的拉力T为( )。
图4-3-32
A.
B.
C.
D.
登录后查看答案及解析
选择购买的题库
2025年公用设备工程师《给水排水(公共基础)》考试题库
试题数量:2962
价格:60.00/年