建筑工程>公用设备工程师 > 给水排水(公共基础) > 第三节 动力学
给水排水(公共基础) - 相关题库
单选题
编号:934709
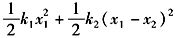
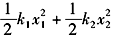
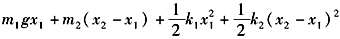
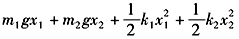
1. 一质量弹簧系统铅垂悬挂如图4-3-28所示,若取系统静平衡位置为零势能位置,物体各自离开静平衡位置的位移为x
1
和x
2
,则系统总势能为( )。
图4-3-28
A.
B.
C.
D.
登录后查看答案及解析
选择购买的题库
2025年公用设备工程师《给水排水(公共基础)》考试题库
试题数量:2962
价格:60.00/年