建筑工程>公用设备工程师 > 给水排水(公共基础) > 第二节 微分学
给水排水(公共基础) - 相关题库
单选题
编号:921418
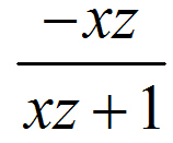
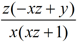
1. 设z=z(x,y)是由方程xz-xy+ln(xyz)=0所确定的可微函数,则
等于( )。[2013年真题]
A.
B.
C.
D.
登录后查看答案及解析
选择购买的题库
2025年公用设备工程师《给水排水(公共基础)》考试题库
试题数量:2962
价格:60.00/年