大学公考>国家电网招聘 > 环化材料类 > 精选强化练习二
环化材料类 - 相关题库
单选题
编号:3479096
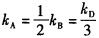
1.
A.
B.
C.
D.
登录后查看答案及解析
选择购买的题库
2026年国家电网招聘《环化材料类》考试题库
试题数量:1461
价格:60.00/年