建筑工程>公用设备工程师 > 给水排水(专业知识)
给水排水(专业知识) - 相关题库
单选题
编号:3285695
1.下列关于公共建筑用水情况以及其设计流量计算的说法中,哪项不正确?()
A.
B.
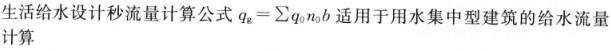
C.航站楼、影剧院建筑属于用水分散型建筑
D.中学学生宿舍属于用水集中型建筑
登录后查看答案及解析
选择购买的题库
2026年公用设备工程师《给水排水(专业知识)》考试题库
试题数量:2388
价格:60.00/年