大学公考>国家电网招聘 > 计算机类 > 强化练习七
计算机类 - 相关题库
单选题
编号:3136226
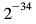
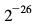
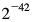
1.某浮点机字长16位,其中,阶码5位(含1位阶符),采用补码表示,基数为4;尾数儿位(含1位数符),采用补码表示,且为规格化形式,则其可以表示的最小正数是()。
A.
B.
C.
D.
登录后查看答案及解析
选择购买的题库
2025年国家电网招聘《计算机》考试题库
试题数量:4687
价格:60.00/年