财会经济>统计师 > 初级-统计专业知识和实务
初级-统计专业知识和实务 - 相关题库
单选题
编号:2523482
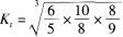
1.在编制居民消费价格指数时,如果已知某基本分类中3种代表规格品6月份的平均价格(单位:元)分别为6.10.8,5月份的相应数字为5.8.9。则月环比指数为()。
A.
B.
C.
D.
登录后查看答案及解析
选择购买的题库
2026年初级统计师《统计专业知识和实务》考试题库
试题数量:2594
价格:60.00/年