职业资格>计算机等级 > 二级C语言程序设计 > 选择题
二级C语言程序设计 - 相关题库
单选题
编号:2481679
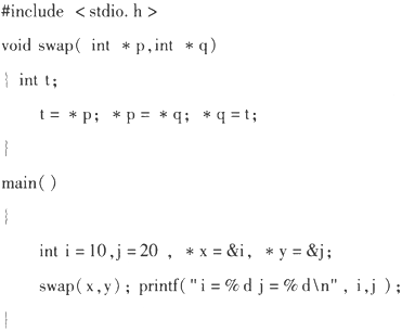
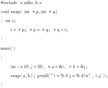
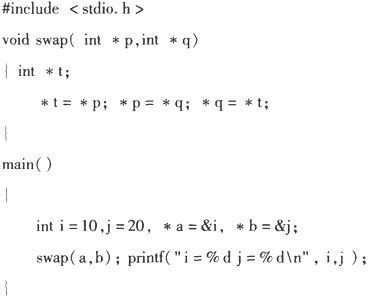
1.以下选项中,不能对主函数中变量i和j的值进行交换的程序是( )。
A.
B.
C.
D.
登录后查看答案及解析
选择购买的题库
2025年全国计算机等级考试《二级C语言程序设计》题库
试题数量:1555
价格:60.00/年