建筑工程>化工工程师 > 公共基础
公共基础 - 相关题库
单选题
编号:1944701
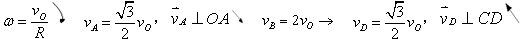
1. 图示半径为R的圆柱体在固定水平面上做纯滚动,圆心O的速度为
,圆柱体角速度ω及A、B、D的速度为( )。
题52图
A.
B.
C.
D.
登录后查看答案及解析
选择购买的题库
2026年注册化工工程师《公共基础》考试题库
试题数量:4412
价格:60.00/年