建筑工程>化工工程师 > 公共基础 > 第一节 空间解析几何
公共基础 - 相关题库
单选题
编号:1944162
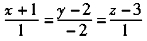
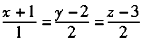
1. 过点(-1,2,3)垂直于直线
且平行于平面7x+8y+9z+10=0的直线是( )。
A.
B.
C.
D.
登录后查看答案及解析
选择购买的题库
2026年注册化工工程师《公共基础》考试题库
试题数量:4412
价格:60.00/年