建筑工程>化工工程师 > 公共基础 > 第二节 微分学
公共基础 - 相关题库
单选题
编号:1944110
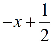
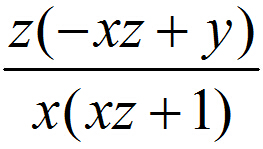
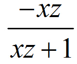
1. 设z=z(x,y)是由方程xz-xy+ln(xyz)=0所确定的可微函数,则
等于( )。[2013年真题]
A.
B.
C.
D.
登录后查看答案及解析
选择购买的题库
2026年注册化工工程师《公共基础》考试题库
试题数量:4412
价格:60.00/年