建筑工程>化工工程师 > 公共基础 > 第三节 积分学
公共基础 - 相关题库
单选题
编号:1943991
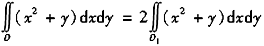
1. 设平面曲线
其所围成的区域分别记为D和D
1
,则有( )。
A.
B.
C.
D.
登录后查看答案及解析
选择购买的题库
2026年注册化工工程师《公共基础》考试题库
试题数量:4412
价格:60.00/年