建筑工程>化工工程师 > 公共基础 > 第三节 积分学
公共基础 - 相关题库
单选题
编号:1943974
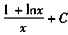
1. 若f(x)的一个原函数是
,则∫xf ′(x)dx=( )。
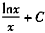
A.
B.
C.
D.
登录后查看答案及解析
选择购买的题库
2026年注册化工工程师《公共基础》考试题库
试题数量:4412
价格:60.00/年