建筑工程>化工工程师 > 公共基础 > 第四节 无穷级数
公共基础 - 相关题库
单选题
编号:1943924
1. 下列级数中,条件收敛的是( )。[2012年真题]
A.
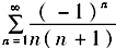
B.
C.
D.
登录后查看答案及解析
选择购买的题库
2026年注册化工工程师《公共基础》考试题库
试题数量:4412
价格:60.00/年