建筑工程>化工工程师 > 公共基础 > 第五节 常微分方程
公共基础 - 相关题库
单选题
编号:1943905
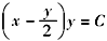
1. 微分方程ydx+(x-y)dy=0的通解是( )。[2010年真题]
A.
B.
C.
D.
登录后查看答案及解析
选择购买的题库
2026年注册化工工程师《公共基础》考试题库
试题数量:4412
价格:60.00/年