建筑工程>化工工程师 > 公共基础 > 第七节 概率与数理统计
公共基础 - 相关题库
单选题
编号:1943804
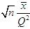
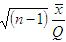
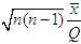
1. 设x
1
,x
2
…x
n
是来自总体N(μ,σ
2
)的样本,μ,σ
2
未知,
,Q>0。则检验假设H
0
∶μ=0时应选取的统计量是( )。[2012年真题]
A.
B.
C.
D.
登录后查看答案及解析
选择购买的题库
2026年注册化工工程师《公共基础》考试题库
试题数量:4412
价格:60.00/年