建筑工程>化工工程师 > 公共基础 > 第二节 波动学
公共基础 - 相关题库
单选题
编号:1943740
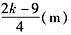
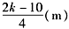
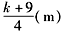
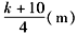
1. 一平面简谱横波的波动表达式为y=0.05cos(20πt+4πx)(SI),取k=0,±1,±2,…。则t=0.5s时各波峰所在处的位置为( )。
A.
B.
C.
D.
登录后查看答案及解析
选择购买的题库
2026年注册化工工程师《公共基础》考试题库
试题数量:4412
价格:60.00/年