建筑工程>化工工程师 > 公共基础 > 第一节 拉伸与压缩
公共基础 - 相关题库
单选题
编号:1943177
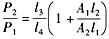
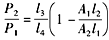
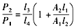
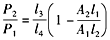
1. 某装配组件的尺寸与受力如图5-1-12所示,已知垂直杆ABC的AB段与BC段材料相同,横截面面积分别为A
1
、A2
,
若载荷P
1
、P
2
作用下C点的垂直位移为零,则P
2
与P
1
之间的关系为( )。
图5-1-12
A.
B.
C.
D.
登录后查看答案及解析
选择购买的题库
2026年注册化工工程师《公共基础》考试题库
试题数量:4412
价格:60.00/年