建筑工程>化工工程师 > 公共基础 > 第一节 拉伸与压缩
公共基础 - 相关题库
单选题
编号:1943175
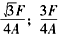
1. 横截面面积为A的等截面直杆受力F作用发生轴向拉伸变形,其30°斜截面上的正应力和切应力分别为( )。
A.
B.
C.
D.
登录后查看答案及解析
选择购买的题库
2026年注册化工工程师《公共基础》考试题库
试题数量:4412
价格:60.00/年