建筑工程>化工工程师 > 公共基础 > 第三节 扭 转
公共基础 - 相关题库
单选题
编号:1942776
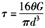
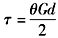
1. 圆轴直径为d,剪切弹性模量为G,在外力作用下发生扭转变形,现测得单位长度扭转角为θ,圆轴的最大切应力是( )。[2013、2010年真题]
A.
B.
C.
D.
登录后查看答案及解析
选择购买的题库
2026年注册化工工程师《公共基础》考试题库
试题数量:4412
价格:60.00/年