建筑工程>化工工程师 > 公共基础 > 第四节 截面的几何性质
公共基础 - 相关题库
单选题
编号:1942760
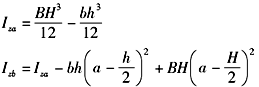
1. 如图5-4-6所示,截面对z轴的惯性矩为( )。
图5-4-6
A.
B.
C.
D.
登录后查看答案及解析
选择购买的题库
2026年注册化工工程师《公共基础》考试题库
试题数量:4412
价格:60.00/年