建筑工程>化工工程师 > 公共基础 > 第四节 截面的几何性质
公共基础 - 相关题库
单选题
编号:1942758
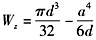
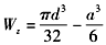
1. 图5-4-4所示截面的抗弯截面模量Wz为( )。[2011年真题]
图5-4-4
A.
B.
C.
D.
登录后查看答案及解析
选择购买的题库
2026年注册化工工程师《公共基础》考试题库
试题数量:4412
价格:60.00/年