建筑工程>化工工程师 > 公共基础 > 第七节 组合变形
公共基础 - 相关题库
单选题
编号:1942663
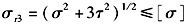
1. 按第三强度理论计算等截面直杆弯扭组合变形的强度问题时,应采用的强度公式为( )。
A.
B.
C.
D.
登录后查看答案及解析
选择购买的题库
2026年注册化工工程师《公共基础》考试题库
试题数量:4412
价格:60.00/年