建筑工程>化工工程师 > 公共基础 > 第二节 流体动力学基础
公共基础 - 相关题库
单选题
编号:1942148
1. 对某一流段,设其上、下游两断面1-1、2-2的断面面积分别为A
1
、A
2
,断面流速分别为v
1
、v
2
,两断面上任一点相对于选定基准面的高程分别为Z
1
、Z
2
,相应断面同一选定点的压强分别为P
1
、P
2
,两断面处的流体密度分别为ρ
1
、ρ
2
,流体为不可压缩流体,两断面间的水头损失为h
1-2
。下列方程表述一定错误的是( )。[2011年真题]
A.连续性方程:v
1
A
1
=v
2
A
2
B.连续性方程:ρ
2
v
1
A
1
=ρ
2
v
2
A
2
C.恒定流能量方程:
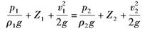
D.恒定流能量方程:
登录后查看答案及解析
选择购买的题库
2026年注册化工工程师《公共基础》考试题库
试题数量:4412
价格:60.00/年