建筑工程>环保工程师 > 公共基础 > 第三节 积分学
公共基础 - 相关题库
单选题
编号:1928781
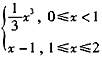
1. 已知
,设
,则F(x)为( )。
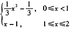
A.
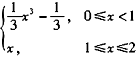
B.
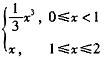
C.
D.
登录后查看答案及解析
选择购买的题库
2026年注册环保工程师《公共基础》考试题库
试题数量:2906
价格:60.00/年