建筑工程>环保工程师 > 公共基础 > 第三节 积分学
公共基础 - 相关题库
单选题
编号:1928762
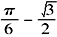
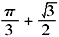
1. 定积分
等于( )。[2012年真题]
A.
B.
C.
D.
登录后查看答案及解析
选择购买的题库
2026年注册环保工程师《公共基础》考试题库
试题数量:2906
价格:60.00/年