建筑工程>环保工程师 > 公共基础 > 第四节 无穷级数
公共基础 - 相关题库
单选题
编号:1928752
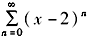
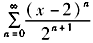
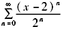
1. 函数1/x展开成(x-2)的幂级数是( )。
A.
B.
C.
D.
登录后查看答案及解析
选择购买的题库
2026年注册环保工程师《公共基础》考试题库
试题数量:2906
价格:60.00/年