建筑工程>环保工程师 > 公共基础 > 第一节 热 学
公共基础 - 相关题库
单选题
编号:1928636
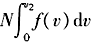
1. 某种理想气体的总分子数为N,分子速率分布函数为f(v),则速度在v
1
~v
2
区间内的分子数是( )。
A.
B.
C.
D.
登录后查看答案及解析
选择购买的题库
2026年注册环保工程师《公共基础》考试题库
试题数量:2906
价格:60.00/年