建筑工程>环保工程师 > 公共基础 > 第三节 光 学
公共基础 - 相关题库
单选题
编号:1928549
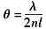
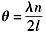
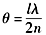
1. 有一玻璃劈尖,置于空气中,劈尖角为θ,用波长为λ的单色光垂直照射时,测得相邻明纹间距为l,若玻璃的折射率为n,则θ、λ、l与n之间的关系为( )。[2011年真题]
A.
B.
C.
D.
登录后查看答案及解析
选择购买的题库
2026年注册环保工程师《公共基础》考试题库
试题数量:2906
价格:60.00/年