建筑工程>环保工程师 > 公共基础 > 第三节 动力学
公共基础 - 相关题库
单选题
编号:1928364
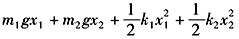
1. 一质量弹簧系统铅垂悬挂如图4-3-28所示,若取系统静平衡位置为零势能位置,物体各自离开静平衡位置的位移为x
1
和x
2
,则系统总势能为( )。
图4-3-28
A.
B.
C.
D.
登录后查看答案及解析
选择购买的题库
2026年注册环保工程师《公共基础》考试题库
试题数量:2906
价格:60.00/年