建筑工程>环保工程师 > 公共基础 > 第二节 剪切与挤压
公共基础 - 相关题库
单选题
编号:1928292
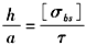
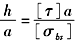
1. 图5-2-6所示两根木杆连接结构,已知木材的许用切应力为[τ],许用挤压应力为[σ
bs
],则a与h的合理比值是( )。[2012年真题]
图5-2-6
A.
B.
C.
D.
登录后查看答案及解析
选择购买的题库
2026年注册环保工程师《公共基础》考试题库
试题数量:2906
价格:60.00/年