建筑工程>环保工程师 > 公共基础 > 第二节 剪切与挤压
公共基础 - 相关题库
单选题
编号:1928289
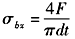
1. 图5-2-3所示螺钉承受轴向拉力F,螺钉头与钢板之间的挤压应力是( )。[2013年真题]
图5-2-3
A.
B.
C.
D.
登录后查看答案及解析
选择购买的题库
2026年注册环保工程师《公共基础》考试题库
试题数量:2906
价格:60.00/年