建筑工程>环保工程师 > 公共基础 > 第八节 压杆稳定
公共基础 - 相关题库
单选题
编号:1928196
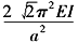
1. 如图5-8-9所示结构,由细长压杆组成,各杆的刚度均为EI,则P的临界值为( )。
图5-8-9
A.
B.
C.
D.
登录后查看答案及解析
选择购买的题库
2026年注册环保工程师《公共基础》考试题库
试题数量:2906
价格:60.00/年