医药卫生>卫生资格副高 > 卫生管理 > 卫生统计学
卫生管理 - 相关题库
单选题
编号:1726853
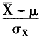
1.对样本均数
作t变换的是()
A.
B.
C.
D.
E.
登录后查看答案及解析
卫生管理 - 相关课程
选择购买的题库
2026年医学高级职称副高《卫生管理》考试题库
试题数量:3632
价格:192.00/年